mp-11607-2/Si3N4/anharm

Harmonic properties

../../_images/fig_bandos_pr16814.png

(a) Phonon dispersion with participation ratio and DOS

../../_images/fig_bandos21128.png

(b) Phonon dispersion and DOS

../../_images/fig_thermo16813.png

(c) Thermodynamic properties

Grüneisen parameters

../../_images/fig_gru_all7349.png

(a) Grüneisen parameters

../../_images/fig_gruneisen7349.png

(b) Phonon dispersion with Grüneisen parameters

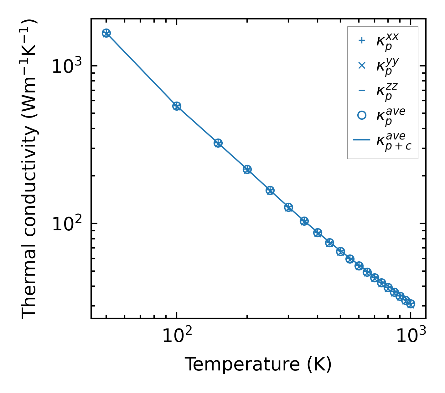
Thermal conductivity

3-phonon (LASSO) — q-mesh: 14x14x14, supercell: 1x1x1

../../_images/fig_kappa13863.png

(a) Temperature-dependent lattice thermal conductivity

../../_images/fig_kappa_vs_grain_size7437.png

(b) Peierls lattice thermal conductivity w.r.t grain size

Phonon lifetime and scattering rates

../../_images/fig_lifetime7283.png

(a) Phonon lifetime due to phonon-phonon scattering

../../_images/fig_scat_rates7282.png

(b) Phonon scattering rates

Cumulative and spectral thermal conductivity

../../_images/fig_cumu_frequency7283.png

(a) Spectral and cumulative thermal conductivity w.r.t frequency

../../_images/fig_cumu_mfp7282.png

(b) Spectral and cumulative thermal conductivity w.r.t MFP

Force constants

../../_images/fig_fc216369.png

(a) Force constants w.r.t atomic distance

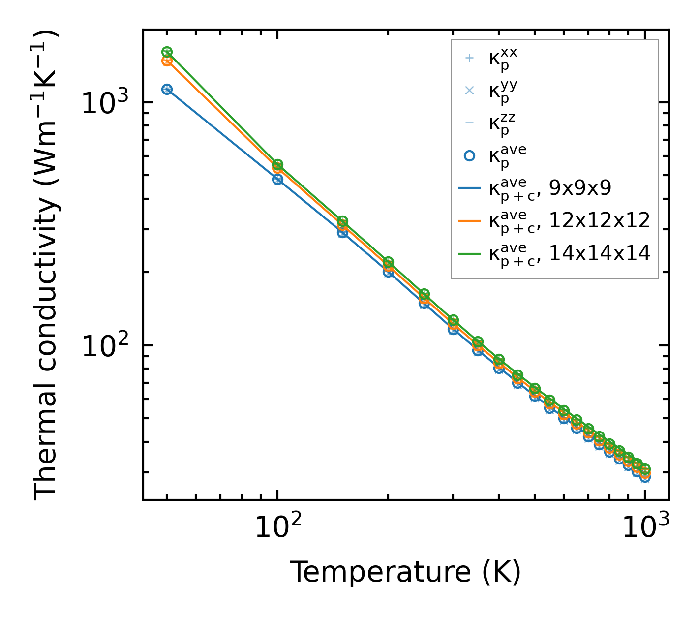
Summary

../../_images/fig_kappa13864.png

(a) Temperature-dependent lattice thermal conductivity

../../_images/fig_times27437.png

(b) Computation time