mp-11742/CsNdTe2/anharm

Harmonic properties

../../_images/fig_bandos_pr16468.png

(a) Phonon dispersion with participation ratio and DOS

../../_images/fig_thermo16467.png

(b) Thermodynamic properties

Grüneisen parameters

../../_images/fig_gru_all7123.png

(a) Grüneisen parameters

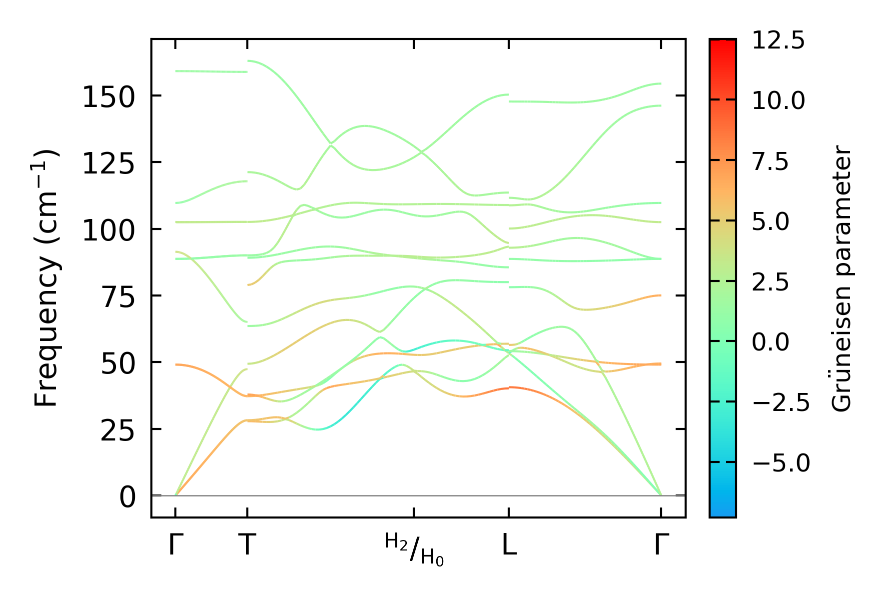
../../_images/fig_gruneisen7123.png

(b) Phonon dispersion with Grüneisen parameters

Thermal conductivity

3-phonon — q-mesh: 13x13x13, supercell: 3x3x1

../../_images/fig_kappa13427.png

(a) Temperature-dependent lattice thermal conductivity

../../_images/fig_kappa_vs_grain_size7208.png

(b) Peierls lattice thermal conductivity w.r.t grain size

Phonon lifetime and scattering rates

../../_images/fig_lifetime7057.png

(a) Phonon lifetime due to phonon-phonon scattering

../../_images/fig_scat_rates7056.png

(b) Phonon scattering rates

Cumulative and spectral thermal conductivity

../../_images/fig_cumu_frequency7057.png

(a) Spectral and cumulative thermal conductivity w.r.t frequency

../../_images/fig_cumu_mfp7056.png

(b) Spectral and cumulative thermal conductivity w.r.t MFP

Force constants

../../_images/fig_fc3423.png

(a) Force constants w.r.t atomic distance

Summary

../../_images/fig_kappa13428.png

(a) Temperature-dependent lattice thermal conductivity

../../_images/fig_times26971.png

(b) Computation time