mp-11607/Si3N4/anharm

Equation of state

../../_images/fig_bm7779.png

(a) Equation of state

Harmonic properties

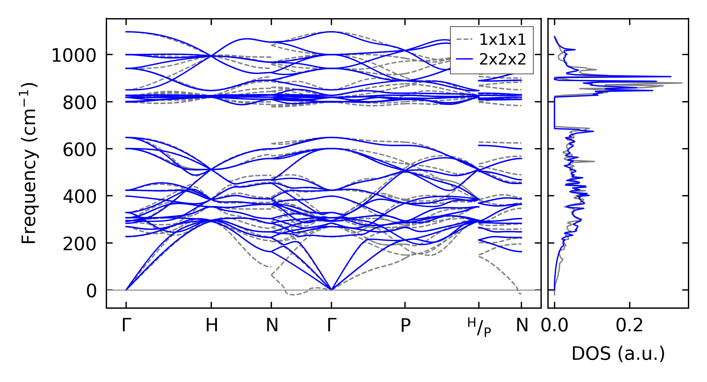
../../_images/fig_bandos_pr16813.png

(a) Phonon dispersion with participation ratio and DOS

../../_images/fig_bandos21127.png

(b) Phonon dispersion and DOS

../../_images/fig_thermo16812.png

(c) Thermodynamic properties

Grüneisen parameters

../../_images/fig_gru_all7348.png

(a) Grüneisen parameters

../../_images/fig_gruneisen7348.png

(b) Phonon dispersion with Grüneisen parameters

Thermal conductivity

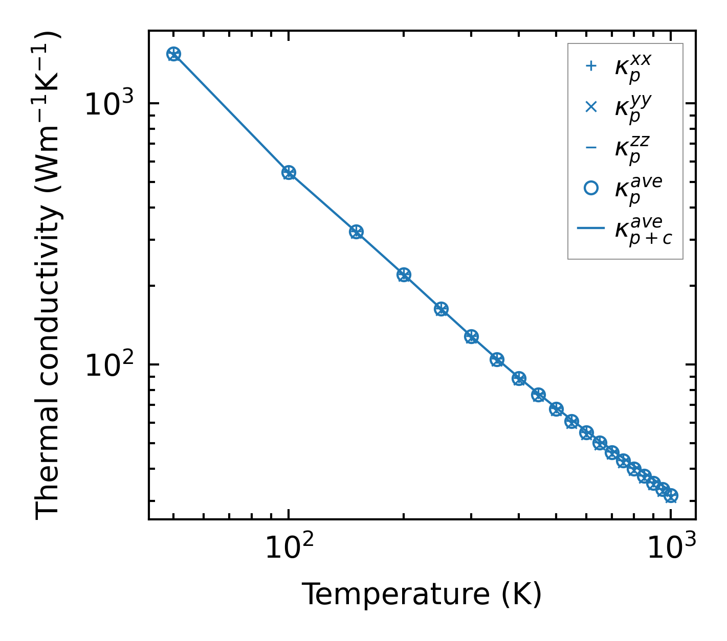
3-phonon (LASSO) — q-mesh: 14x14x14, supercell: 1x1x1

../../_images/fig_kappa13860.png

(a) Temperature-dependent lattice thermal conductivity

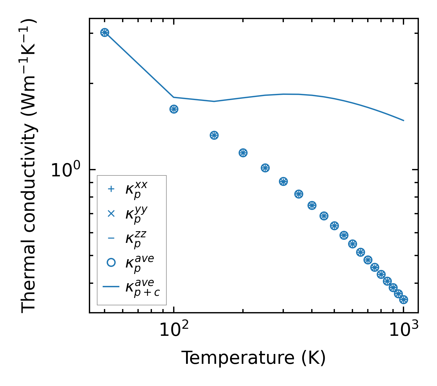
../../_images/fig_kappa_vs_grain_size7435.png

(b) Peierls lattice thermal conductivity w.r.t grain size

3-phonon (LASSO), supercell 2x2x2 — q-mesh: 14x14x14, supercell: 2x2x2

../../_images/fig_kappa13861.png

(a) Temperature-dependent lattice thermal conductivity

../../_images/fig_kappa_vs_grain_size7436.png

(b) Peierls lattice thermal conductivity w.r.t grain size

Phonon lifetime and scattering rates

../../_images/fig_lifetime7282.png

(a) Phonon lifetime due to phonon-phonon scattering

../../_images/fig_scat_rates7281.png

(b) Phonon scattering rates

Cumulative and spectral thermal conductivity

../../_images/fig_cumu_frequency7282.png

(a) Spectral and cumulative thermal conductivity w.r.t frequency

../../_images/fig_cumu_mfp7281.png

(b) Spectral and cumulative thermal conductivity w.r.t MFP

Force constants

../../_images/fig_fc216368.png

(a) Force constants w.r.t atomic distance

Summary

../../_images/fig_kappa13862.png

(a) Temperature-dependent lattice thermal conductivity

../../_images/fig_times27436.png

(b) Computation time