mp-11713-2/SiC/harm

Harmonic properties

../../_images/fig_bandos_pr16456.png

(a) Phonon dispersion with participation ratio and DOS

../../_images/fig_bandos20867.png

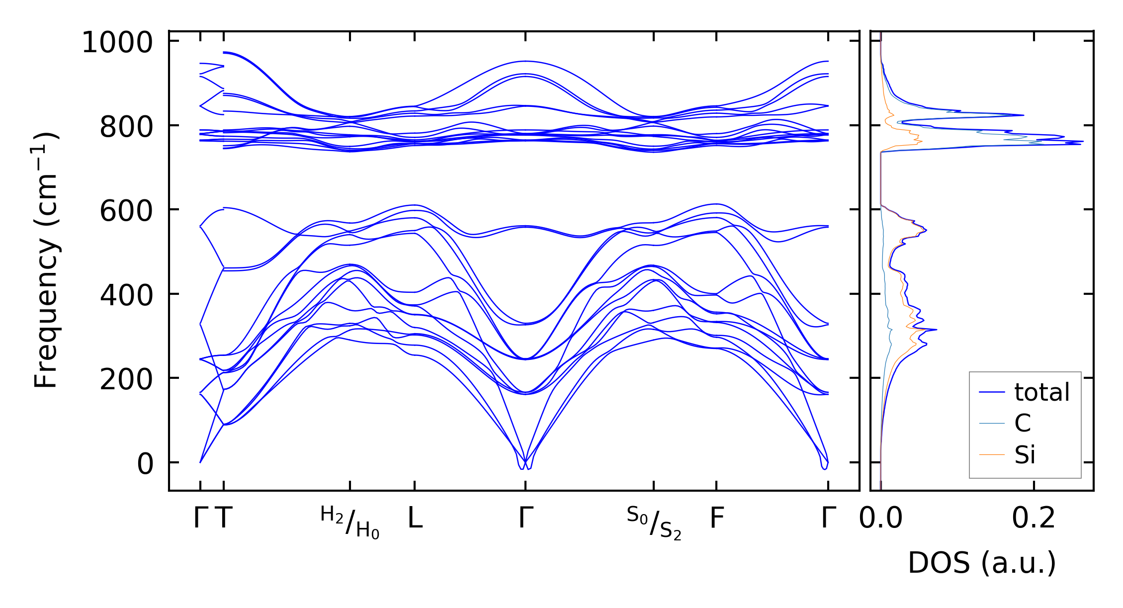
(b) Phonon dispersion and DOS

../../_images/fig_thermo16455.png

(c) Thermodynamic properties

Force constants

../../_images/fig_fc216036.png

(a) Force constants w.r.t atomic distance

Summary

../../_images/fig_times26958.png

(a) Computation time