mp-11151-2/NaPrTe2/anharm

Equation of state

../../_images/fig_bm7768.png

(a) Equation of state

Harmonic properties

../../_images/fig_bandos_pr16779.png

(a) Phonon dispersion with participation ratio and DOS

../../_images/fig_thermo16778.png

(b) Thermodynamic properties

Grüneisen parameters

../../_images/fig_gru_all7326.png

(a) Grüneisen parameters

../../_images/fig_gruneisen7326.png

(b) Phonon dispersion with Grüneisen parameters

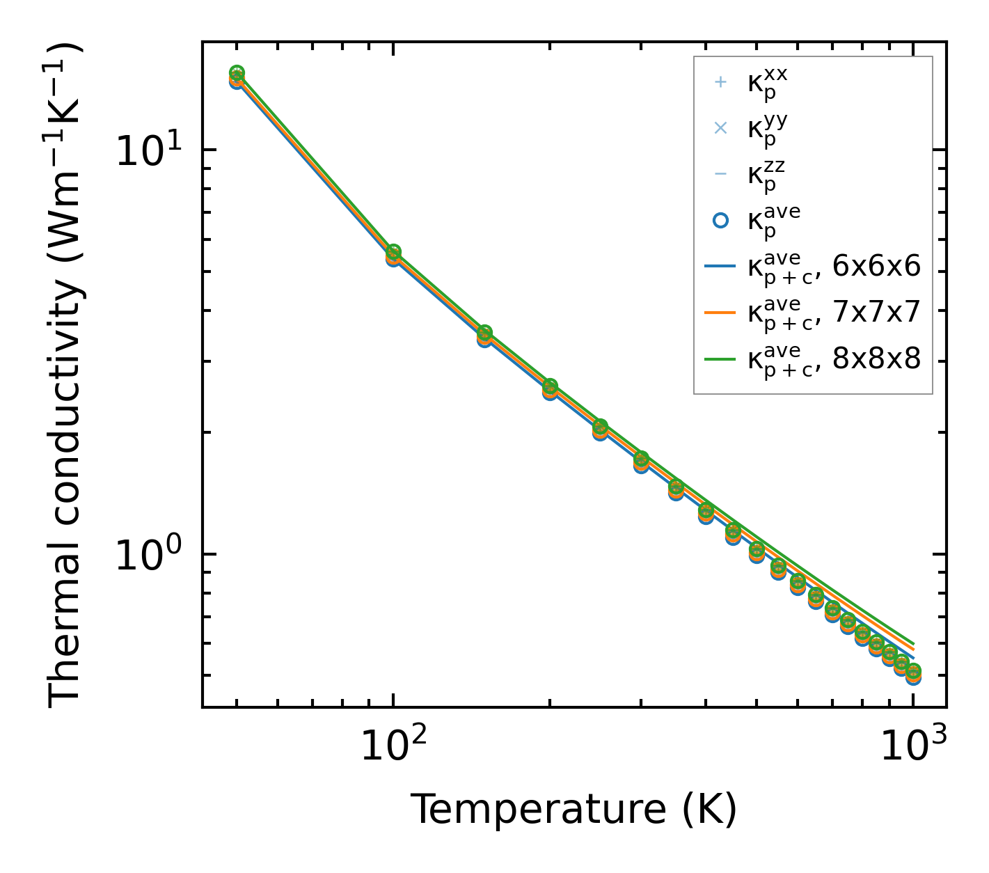
Thermal conductivity

3-phonon (LASSO) — q-mesh: 8x8x8, supercell: 1x1x1

../../_images/fig_kappa13818.png

(a) Temperature-dependent lattice thermal conductivity

../../_images/fig_kappa_vs_grain_size7413.png

(b) Peierls lattice thermal conductivity w.r.t grain size

Phonon lifetime and scattering rates

../../_images/fig_lifetime7260.png

(a) Phonon lifetime due to phonon-phonon scattering

../../_images/fig_scat_rates7259.png

(b) Phonon scattering rates

Cumulative and spectral thermal conductivity

../../_images/fig_cumu_frequency7260.png

(a) Spectral and cumulative thermal conductivity w.r.t frequency

../../_images/fig_cumu_mfp7259.png

(b) Spectral and cumulative thermal conductivity w.r.t MFP

Force constants

../../_images/fig_fc216337.png

(a) Force constants w.r.t atomic distance

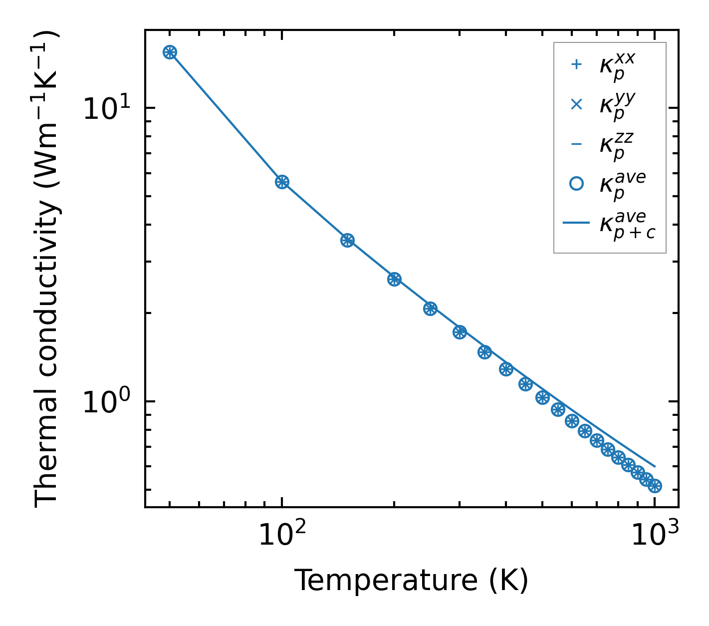
Summary

../../_images/fig_kappa13819.png

(a) Temperature-dependent lattice thermal conductivity

../../_images/fig_times27399.png

(b) Computation time