mp-11152-2/SiSbPt/anharm

Harmonic properties

../../_images/fig_bandos_pr16781.png

(a) Phonon dispersion with participation ratio and DOS

../../_images/fig_thermo16780.png

(b) Thermodynamic properties

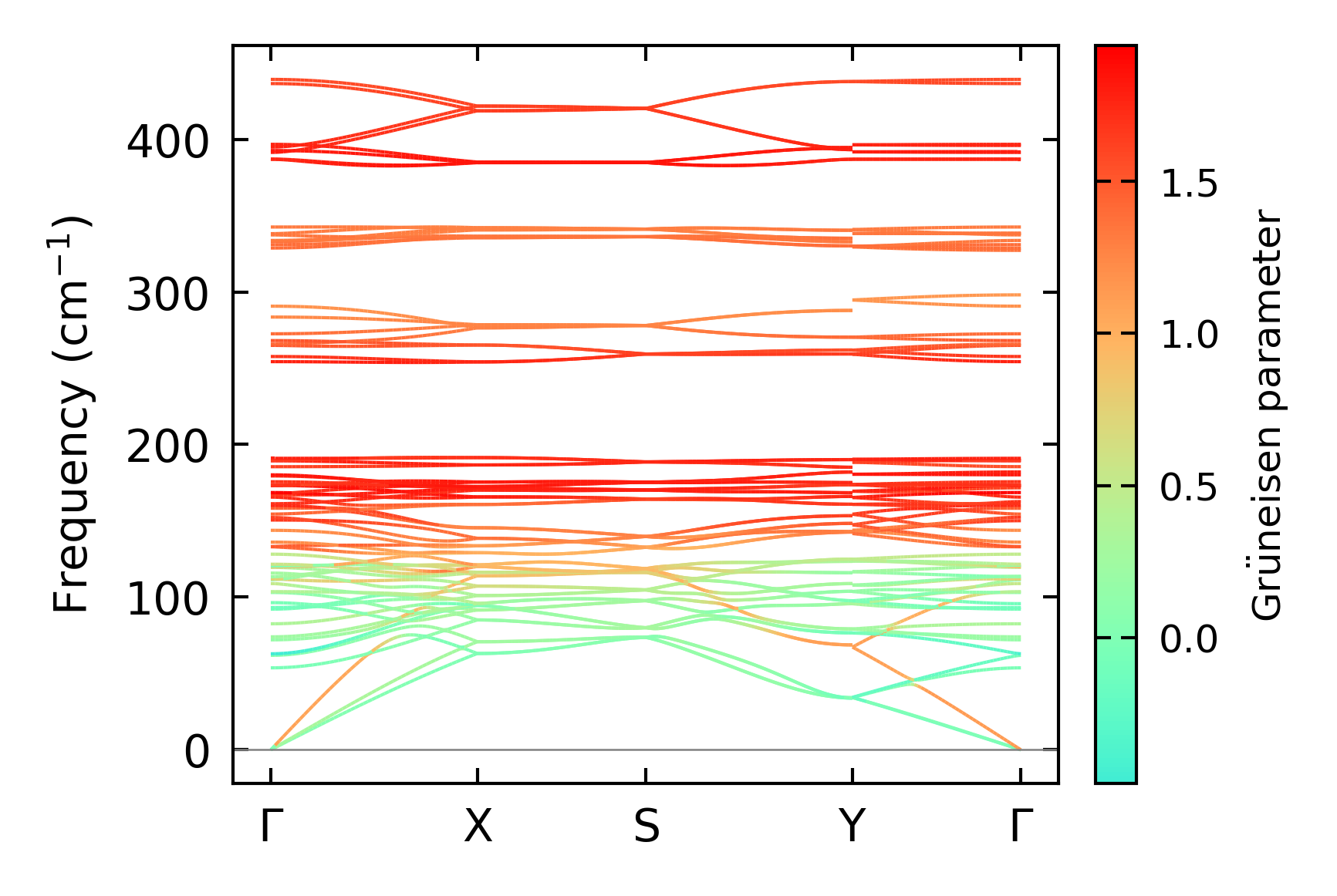
Grüneisen parameters

../../_images/fig_gru_all7328.png

(a) Grüneisen parameters

../../_images/fig_gruneisen7328.png

(b) Phonon dispersion with Grüneisen parameters

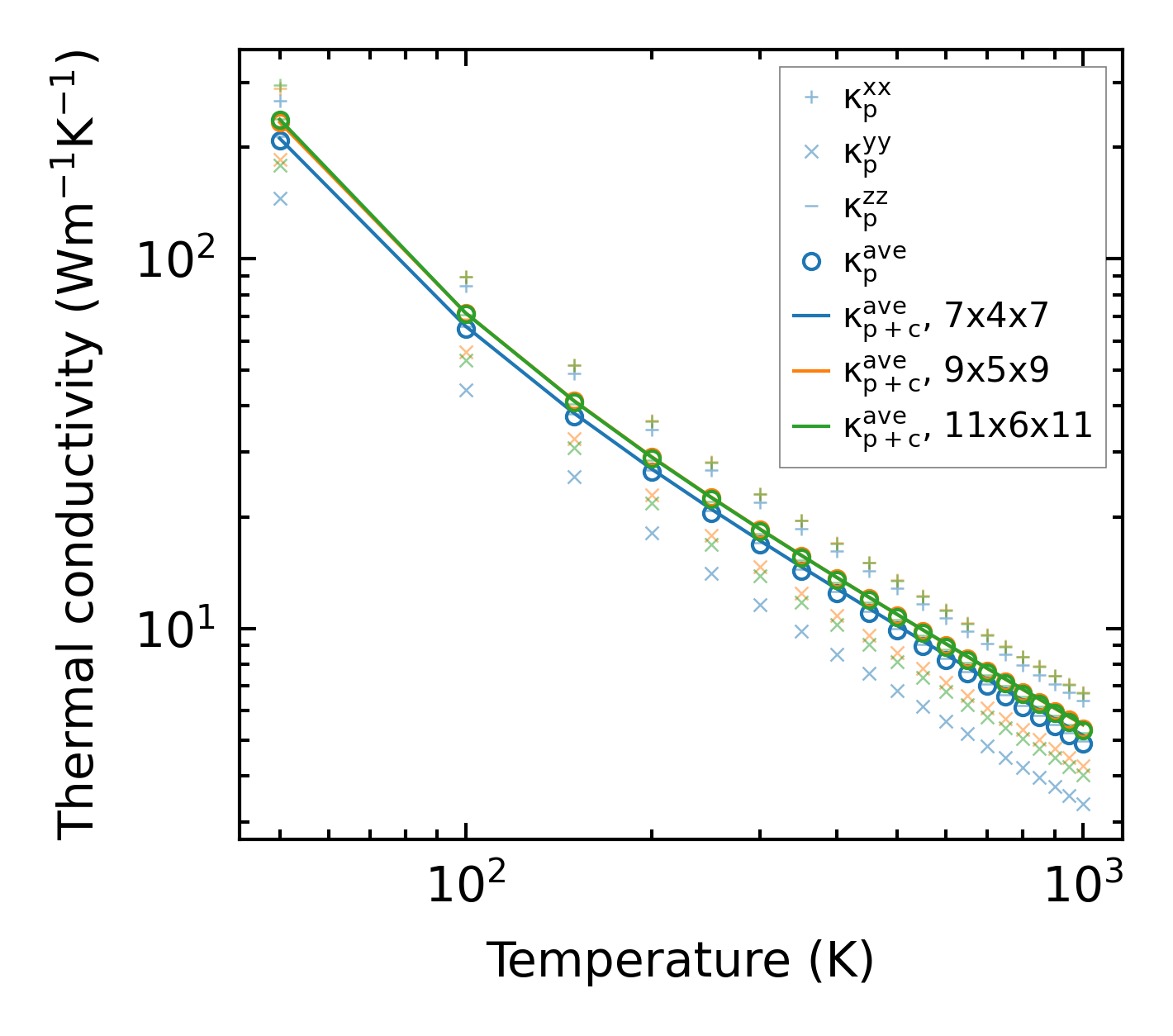
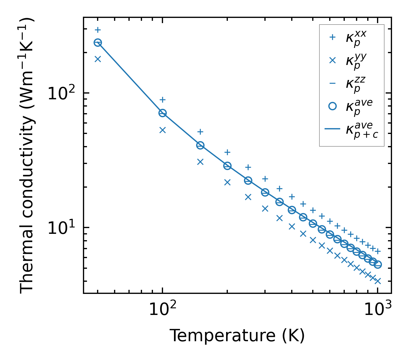
Thermal conductivity

3-phonon (LASSO) — q-mesh: 11x6x11, supercell: 2x1x2

../../_images/fig_kappa13822.png

(a) Temperature-dependent lattice thermal conductivity

../../_images/fig_kappa_vs_grain_size7415.png

(b) Peierls lattice thermal conductivity w.r.t grain size

Phonon lifetime and scattering rates

../../_images/fig_lifetime7262.png

(a) Phonon lifetime due to phonon-phonon scattering

../../_images/fig_scat_rates7261.png

(b) Phonon scattering rates

Cumulative and spectral thermal conductivity

../../_images/fig_cumu_frequency7262.png

(a) Spectral and cumulative thermal conductivity w.r.t frequency

../../_images/fig_cumu_mfp7261.png

(b) Spectral and cumulative thermal conductivity w.r.t MFP

Force constants

../../_images/fig_fc216339.png

(a) Force constants w.r.t atomic distance

Summary

../../_images/fig_kappa13823.png

(a) Temperature-dependent lattice thermal conductivity

../../_images/fig_times27401.png

(b) Computation time