mp-11893/K2PdC4N4/anharm

Equation of state

../../_images/fig_bm7726.png

(a) Equation of state

Harmonic properties

../../_images/fig_bandos_pr16482.png

(a) Phonon dispersion with participation ratio and DOS

../../_images/fig_thermo16481.png

(b) Thermodynamic properties

Grüneisen parameters

../../_images/fig_gru_all7130.png

(a) Grüneisen parameters

../../_images/fig_gruneisen7130.png

(b) Phonon dispersion with Grüneisen parameters

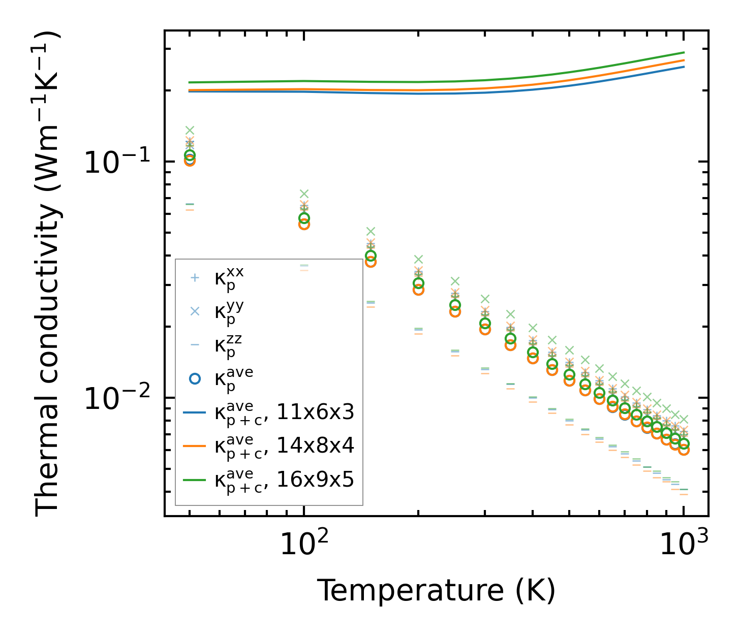
Thermal conductivity

3-phonon (LASSO) — q-mesh: 16x9x5, supercell: 3x2x1

../../_images/fig_kappa13441.png

(a) Temperature-dependent lattice thermal conductivity

../../_images/fig_kappa_vs_grain_size7215.png

(b) Peierls lattice thermal conductivity w.r.t grain size

Phonon lifetime and scattering rates

../../_images/fig_lifetime7064.png

(a) Phonon lifetime due to phonon-phonon scattering

../../_images/fig_scat_rates7063.png

(b) Phonon scattering rates

Cumulative and spectral thermal conductivity

../../_images/fig_cumu_frequency7064.png

(a) Spectral and cumulative thermal conductivity w.r.t frequency

../../_images/fig_cumu_mfp7063.png

(b) Spectral and cumulative thermal conductivity w.r.t MFP

Force constants

../../_images/fig_fc216057.png

(a) Force constants w.r.t atomic distance

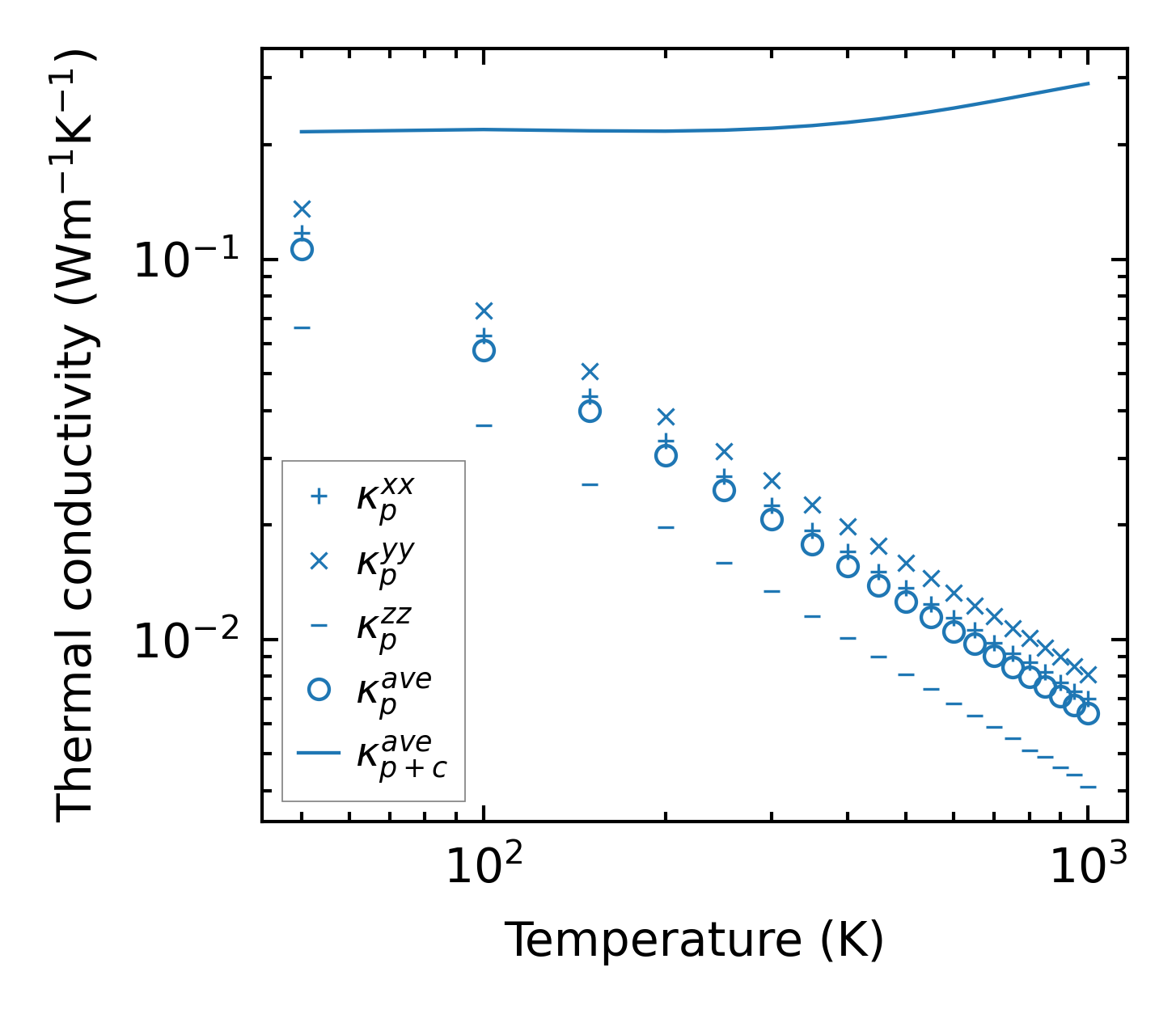
Summary

../../_images/fig_kappa13442.png

(a) Temperature-dependent lattice thermal conductivity

../../_images/fig_times26986.png

(b) Computation time