mp-11009/CaC2S2N2/anharm

Harmonic properties

../../_images/fig_bandos_pr16742.png

(a) Phonon dispersion with participation ratio and DOS

../../_images/fig_thermo16741.png

(b) Thermodynamic properties

Grüneisen parameters

../../_images/fig_gru_all7303.png

(a) Grüneisen parameters

../../_images/fig_gruneisen7303.png

(b) Phonon dispersion with Grüneisen parameters

Thermal conductivity

3-phonon (LASSO) — q-mesh: 12x12x9, supercell: 1x2x2

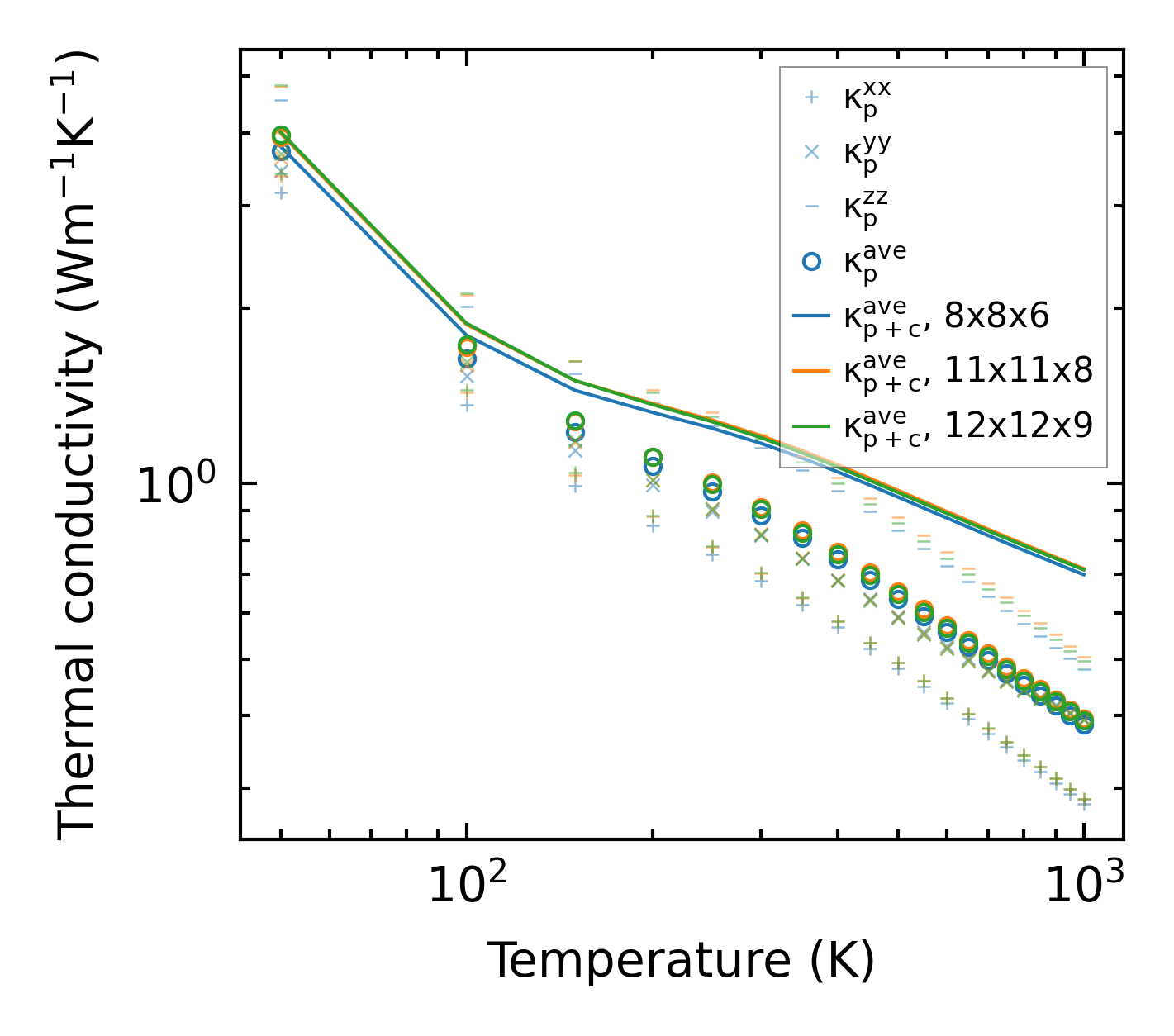
../../_images/fig_kappa13772.png

(a) Temperature-dependent lattice thermal conductivity

../../_images/fig_kappa_vs_grain_size7389.png

(b) Peierls lattice thermal conductivity w.r.t grain size

Phonon lifetime and scattering rates

../../_images/fig_lifetime7237.png

(a) Phonon lifetime due to phonon-phonon scattering

../../_images/fig_scat_rates7236.png

(b) Phonon scattering rates

Cumulative and spectral thermal conductivity

../../_images/fig_cumu_frequency7237.png

(a) Spectral and cumulative thermal conductivity w.r.t frequency

../../_images/fig_cumu_mfp7236.png

(b) Spectral and cumulative thermal conductivity w.r.t MFP

Force constants

../../_images/fig_fc216300.png

(a) Force constants w.r.t atomic distance

Summary

../../_images/fig_kappa13773.png

(a) Temperature-dependent lattice thermal conductivity

../../_images/fig_times27355.png

(b) Computation time