mp-11643/K2MgP2Se6/anharm

Harmonic properties

../../_images/fig_bandos_pr16820.png

(a) Phonon dispersion with participation ratio and DOS

../../_images/fig_thermo16819.png

(b) Thermodynamic properties

Grüneisen parameters

../../_images/fig_gru_all7352.png

(a) Grüneisen parameters

../../_images/fig_gruneisen7352.png

(b) Phonon dispersion with Grüneisen parameters

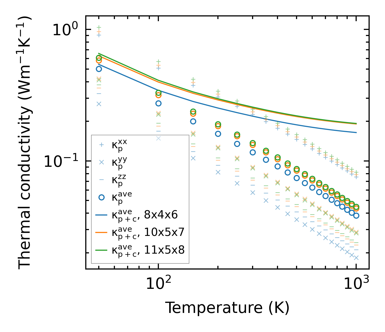
Thermal conductivity

3-phonon (LASSO) — q-mesh: 11x5x8, supercell: 2x1x2

../../_images/fig_kappa13869.png

(a) Temperature-dependent lattice thermal conductivity

../../_images/fig_kappa_vs_grain_size7440.png

(b) Peierls lattice thermal conductivity w.r.t grain size

Phonon lifetime and scattering rates

../../_images/fig_lifetime7286.png

(a) Phonon lifetime due to phonon-phonon scattering

../../_images/fig_scat_rates7285.png

(b) Phonon scattering rates

Cumulative and spectral thermal conductivity

../../_images/fig_cumu_frequency7286.png

(a) Spectral and cumulative thermal conductivity w.r.t frequency

../../_images/fig_cumu_mfp7285.png

(b) Spectral and cumulative thermal conductivity w.r.t MFP

Force constants

../../_images/fig_fc216375.png

(a) Force constants w.r.t atomic distance

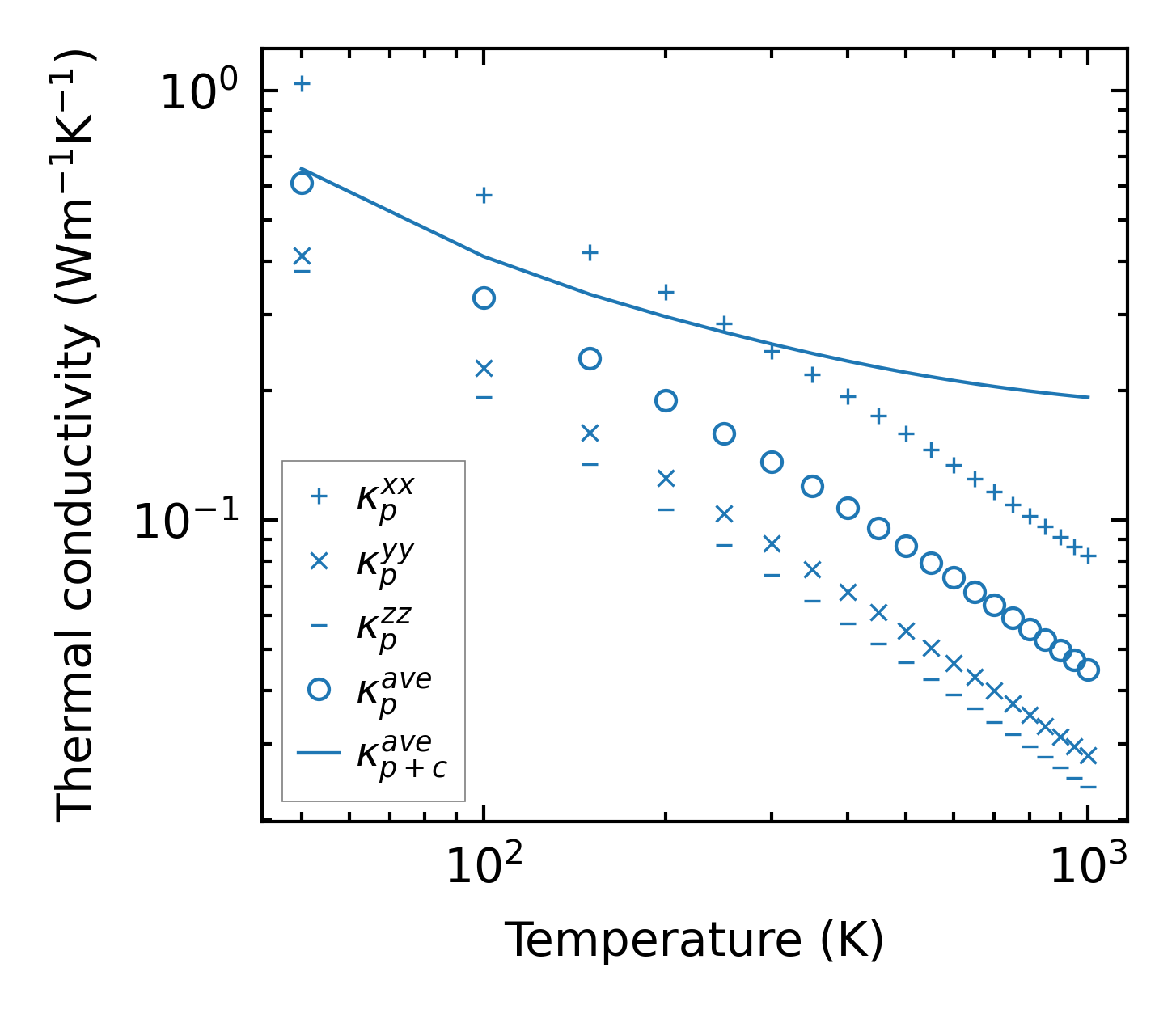
Summary

../../_images/fig_kappa13870.png

(a) Temperature-dependent lattice thermal conductivity

../../_images/fig_times27445.png

(b) Computation time