mp-11016-2/RbCdN3O6/harm

Harmonic properties

../../_images/fig_bandos_pr16749.png

(a) Phonon dispersion with participation ratio and DOS

../../_images/fig_bandos21098.png

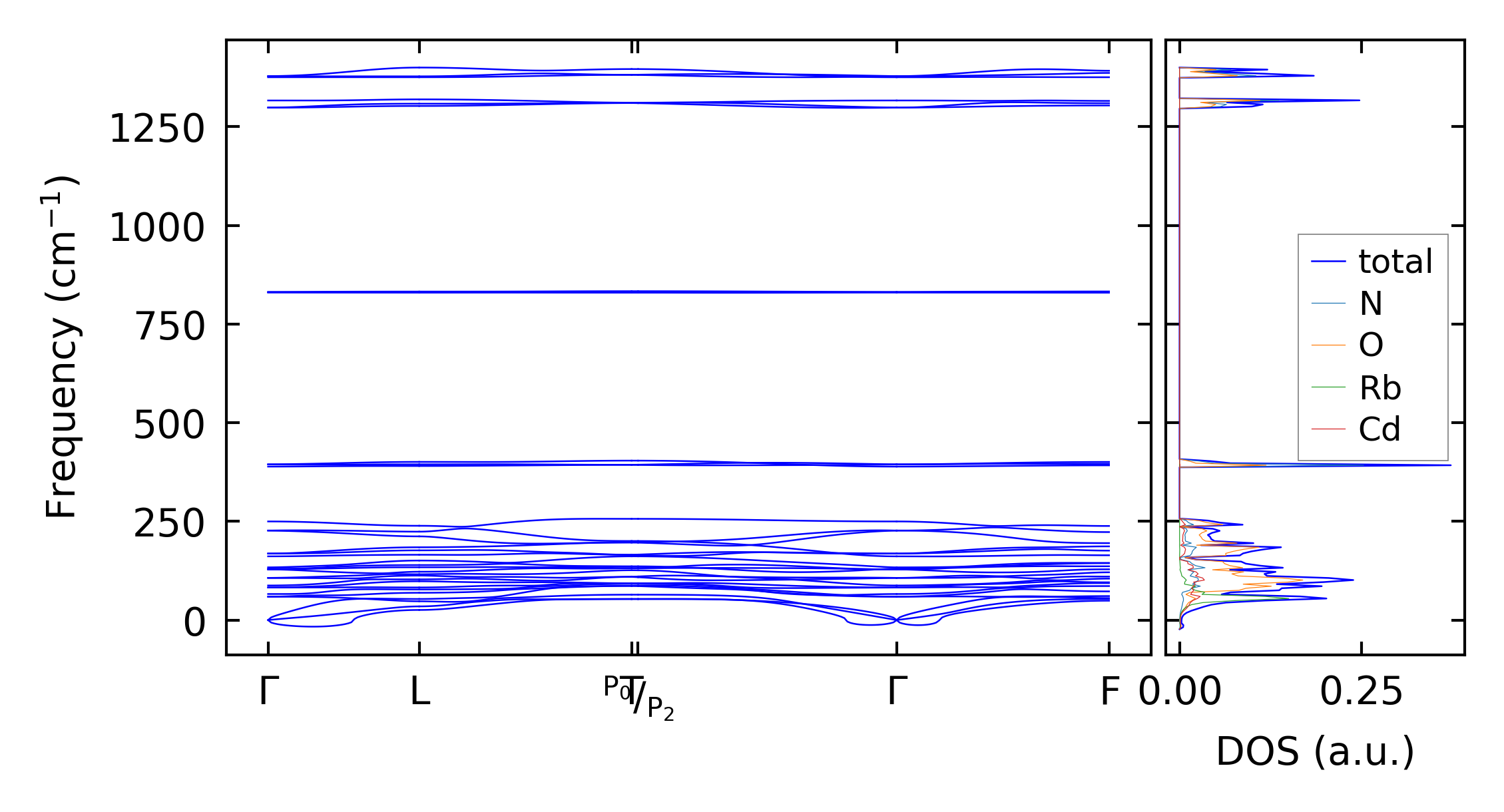
(b) Phonon dispersion and DOS

../../_images/fig_thermo16748.png

(c) Thermodynamic properties

Force constants

../../_images/fig_fc216307.png

(a) Force constants w.r.t atomic distance

Summary

../../_images/fig_times27366.png

(a) Computation time