mp-11018-2/TlCdN3O6/harm

Harmonic properties

../../_images/fig_bandos_pr16752.png

(a) Phonon dispersion with participation ratio and DOS

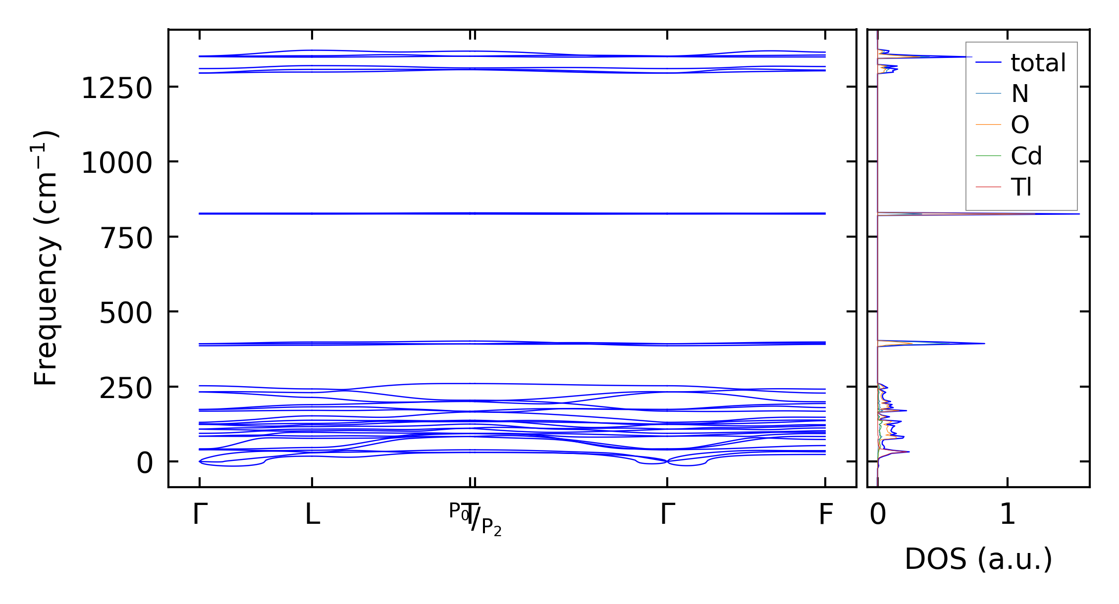
../../_images/fig_bandos21101.png

(b) Phonon dispersion and DOS

../../_images/fig_thermo16751.png

(c) Thermodynamic properties

Force constants

../../_images/fig_fc216310.png

(a) Force constants w.r.t atomic distance

Summary

../../_images/fig_times27369.png

(a) Computation time