mp-11625/KCaP3O9/anharm

Equation of state

../../_images/fig_bm7780.png

(a) Equation of state

Harmonic properties

../../_images/fig_bandos_pr16816.png

(a) Phonon dispersion with participation ratio and DOS

../../_images/fig_thermo16815.png

(b) Thermodynamic properties

Grüneisen parameters

../../_images/fig_gru_all7351.png

(a) Grüneisen parameters

../../_images/fig_gruneisen7351.png

(b) Phonon dispersion with Grüneisen parameters

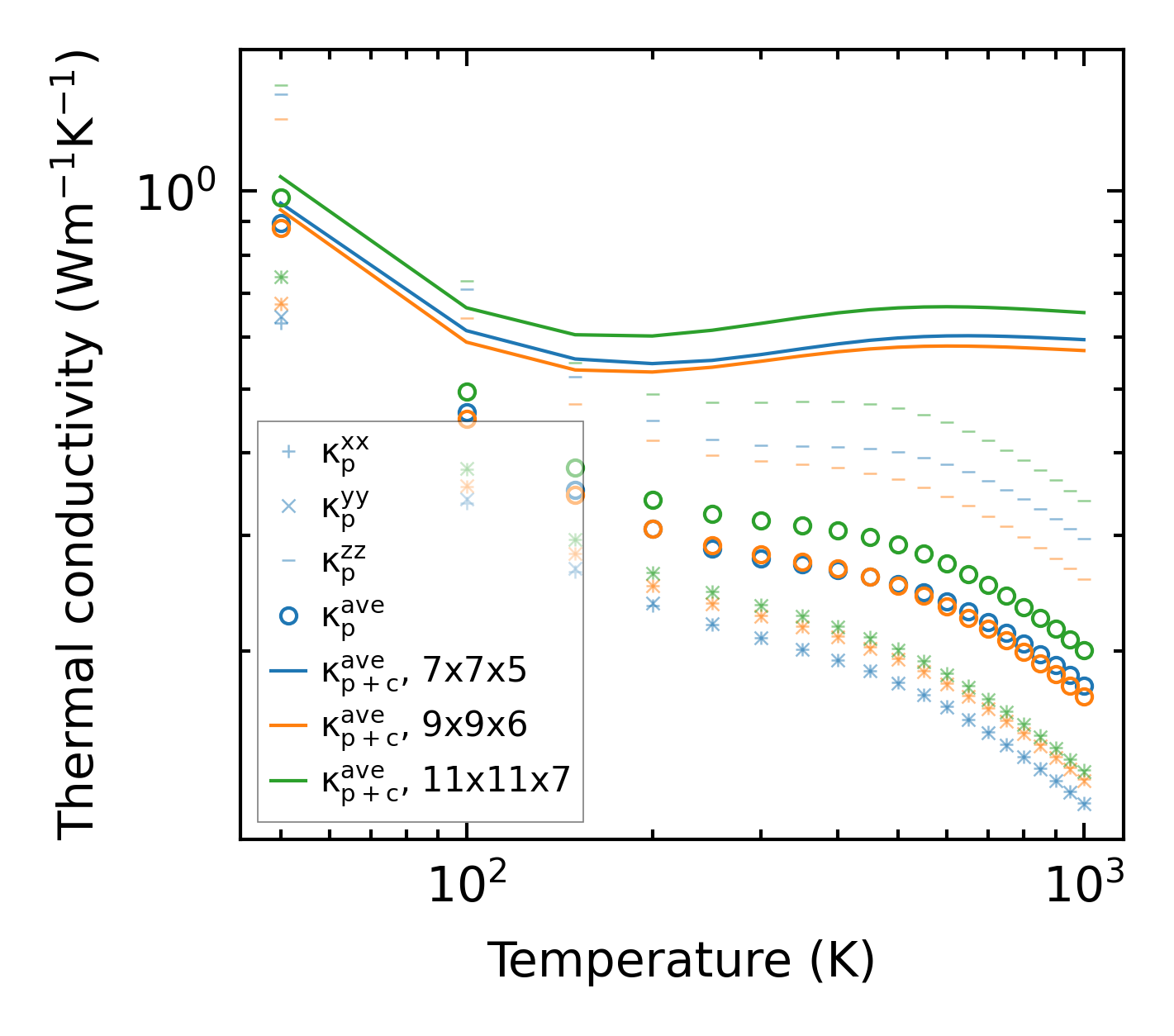
Thermal conductivity

3-phonon (LASSO) — q-mesh: 11x11x7, supercell: 2x2x1

../../_images/fig_kappa13867.png

(a) Temperature-dependent lattice thermal conductivity

../../_images/fig_kappa_vs_grain_size7439.png

(b) Peierls lattice thermal conductivity w.r.t grain size

Phonon lifetime and scattering rates

../../_images/fig_lifetime7285.png

(a) Phonon lifetime due to phonon-phonon scattering

../../_images/fig_scat_rates7284.png

(b) Phonon scattering rates

Cumulative and spectral thermal conductivity

../../_images/fig_cumu_frequency7285.png

(a) Spectral and cumulative thermal conductivity w.r.t frequency

../../_images/fig_cumu_mfp7284.png

(b) Spectral and cumulative thermal conductivity w.r.t MFP

Force constants

../../_images/fig_fc216371.png

(a) Force constants w.r.t atomic distance

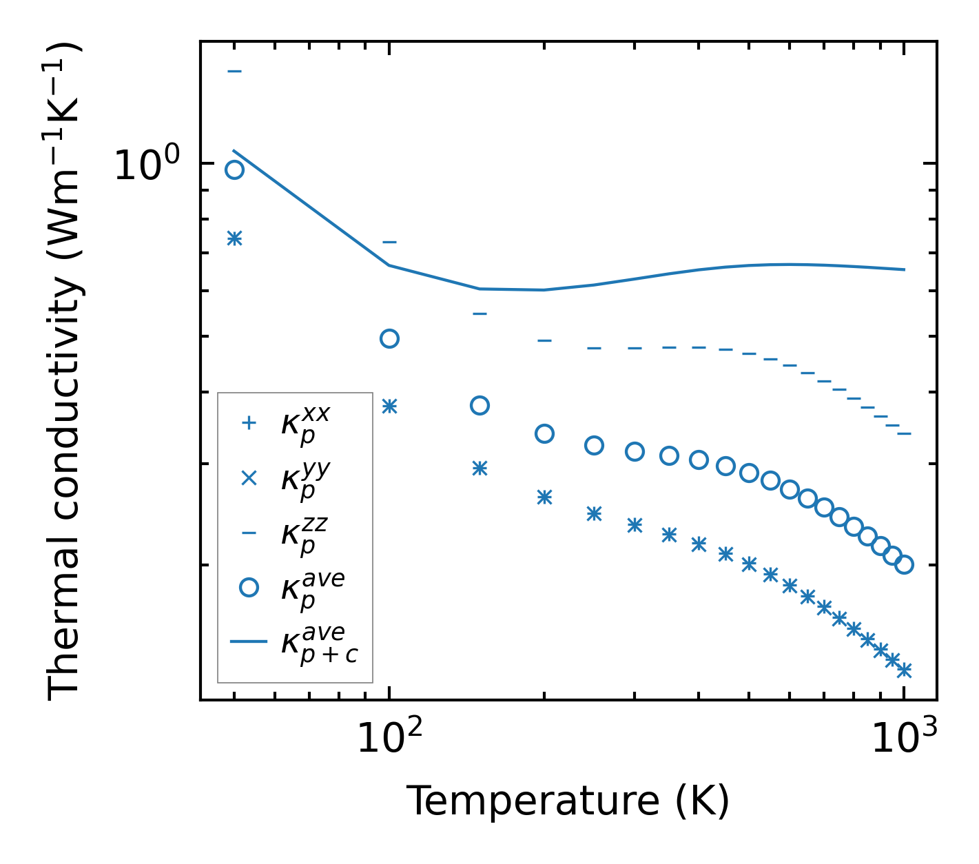
Summary

../../_images/fig_kappa13868.png

(a) Temperature-dependent lattice thermal conductivity

../../_images/fig_times27439.png

(b) Computation time