mp-11738/Na3PS3O/anharm

Equation of state

../../_images/fig_bm7721.png

(a) Equation of state

Harmonic properties

../../_images/fig_bandos_pr16464.png

(a) Phonon dispersion with participation ratio and DOS

../../_images/fig_bandos20870.png

(b) Phonon dispersion and DOS

../../_images/fig_thermo16463.png

(c) Thermodynamic properties

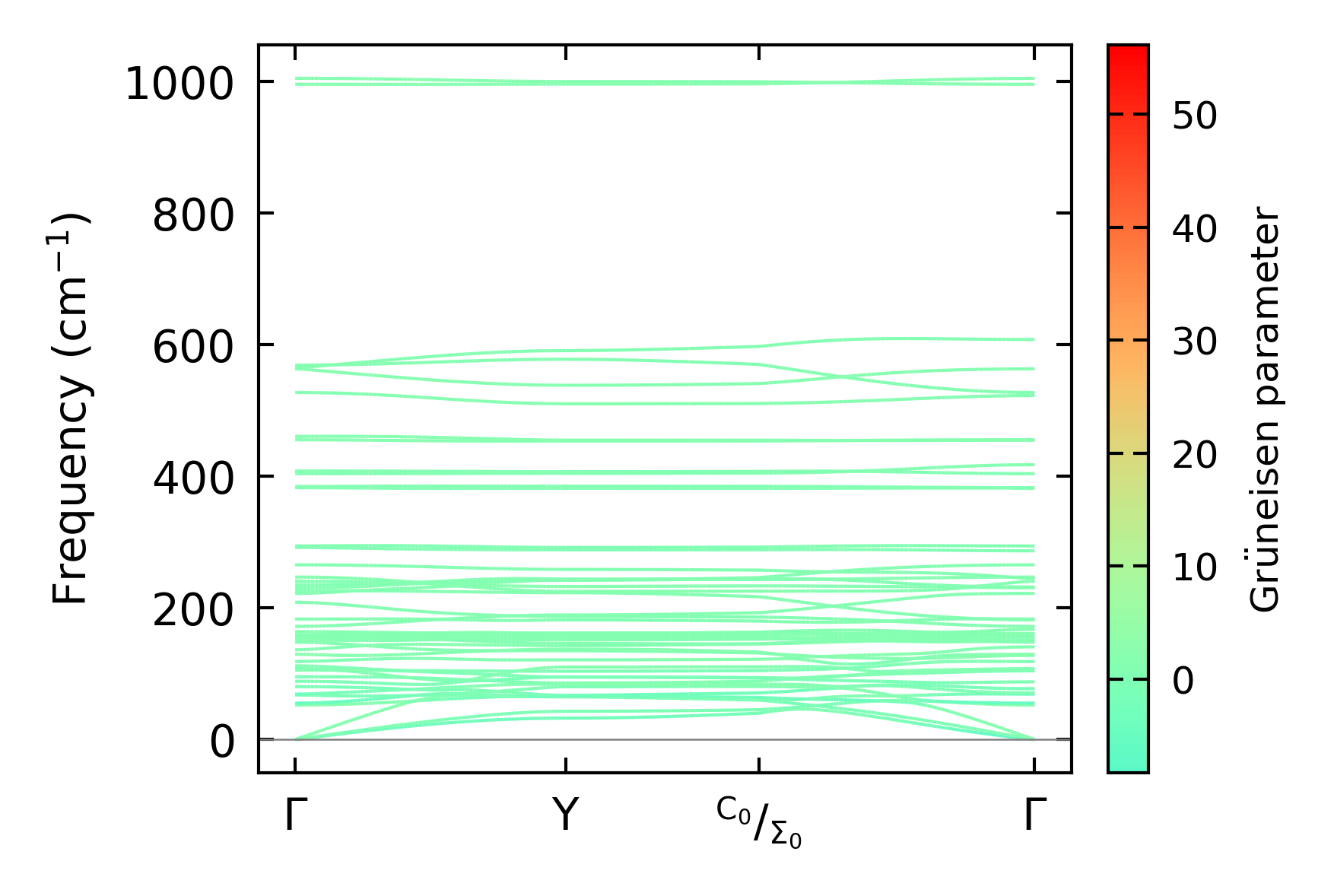
Grüneisen parameters

../../_images/fig_gru_all7120.png

(a) Grüneisen parameters

../../_images/fig_gruneisen7120.png

(b) Phonon dispersion with Grüneisen parameters

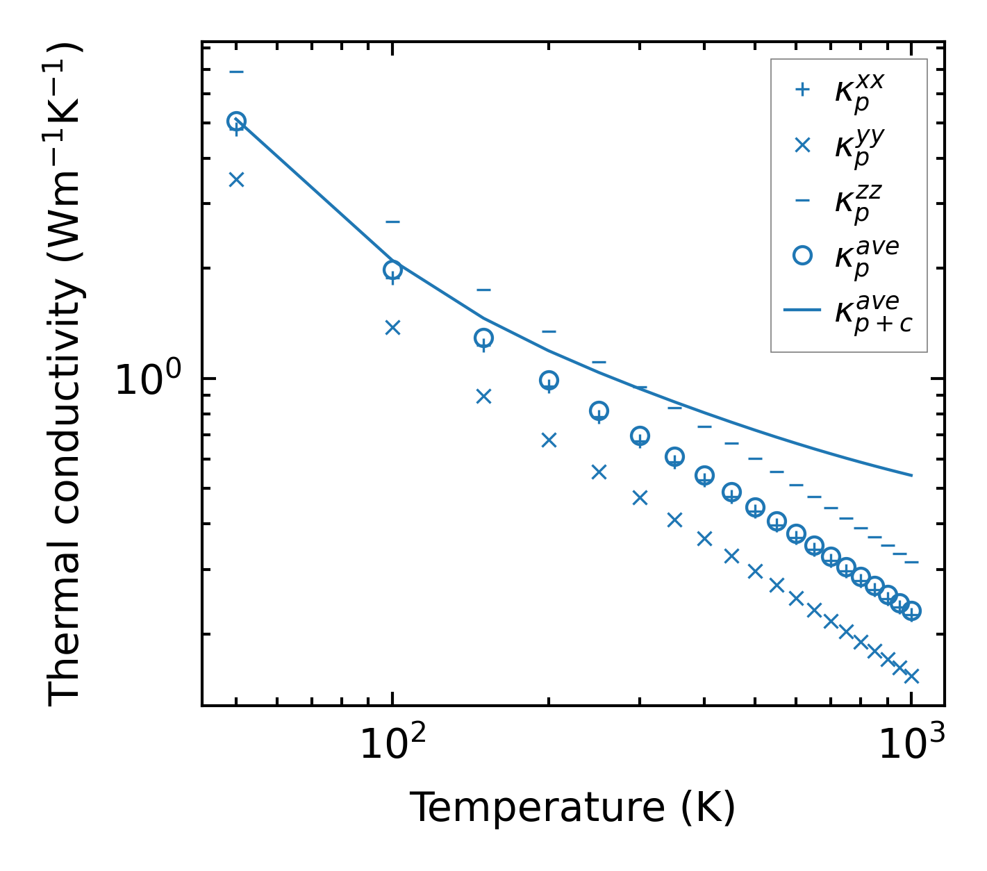
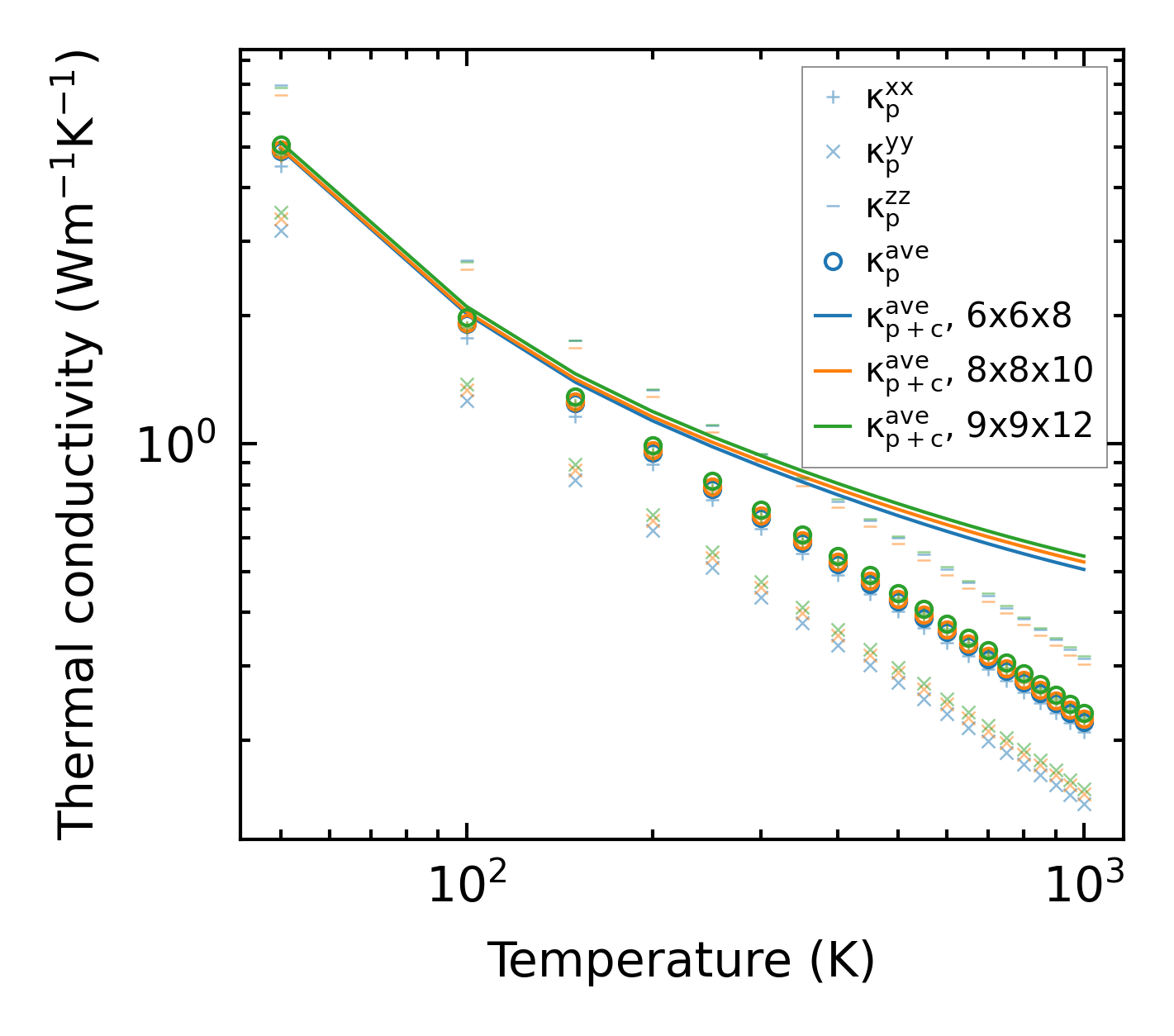
Thermal conductivity

3-phonon (LASSO) — q-mesh: 9x9x12, supercell: 2x1x2

../../_images/fig_kappa13420.png

(a) Temperature-dependent lattice thermal conductivity

../../_images/fig_kappa_vs_grain_size7204.png

(b) Peierls lattice thermal conductivity w.r.t grain size

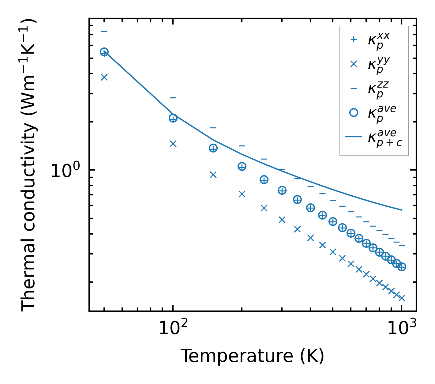
3-phonon (LASSO), supercell 2x2x2 — q-mesh: 9x9x12, supercell: 2x2x2

../../_images/fig_kappa13421.png

(a) Temperature-dependent lattice thermal conductivity

../../_images/fig_kappa_vs_grain_size7205.png

(b) Peierls lattice thermal conductivity w.r.t grain size

Phonon lifetime and scattering rates

../../_images/fig_lifetime7054.png

(a) Phonon lifetime due to phonon-phonon scattering

../../_images/fig_scat_rates7053.png

(b) Phonon scattering rates

Cumulative and spectral thermal conductivity

../../_images/fig_cumu_frequency7054.png

(a) Spectral and cumulative thermal conductivity w.r.t frequency

../../_images/fig_cumu_mfp7053.png

(b) Spectral and cumulative thermal conductivity w.r.t MFP

Force constants

../../_images/fig_fc216044.png

(a) Force constants w.r.t atomic distance

Summary

../../_images/fig_kappa13422.png

(a) Temperature-dependent lattice thermal conductivity

../../_images/fig_times26967.png

(b) Computation time