mp-11165/Na2MgPO4F/anharm

Equation of state

../../_images/fig_bm7769.png

(a) Equation of state

Harmonic properties

../../_images/fig_bandos_pr16782.png

(a) Phonon dispersion with participation ratio and DOS

../../_images/fig_thermo16781.png

(b) Thermodynamic properties

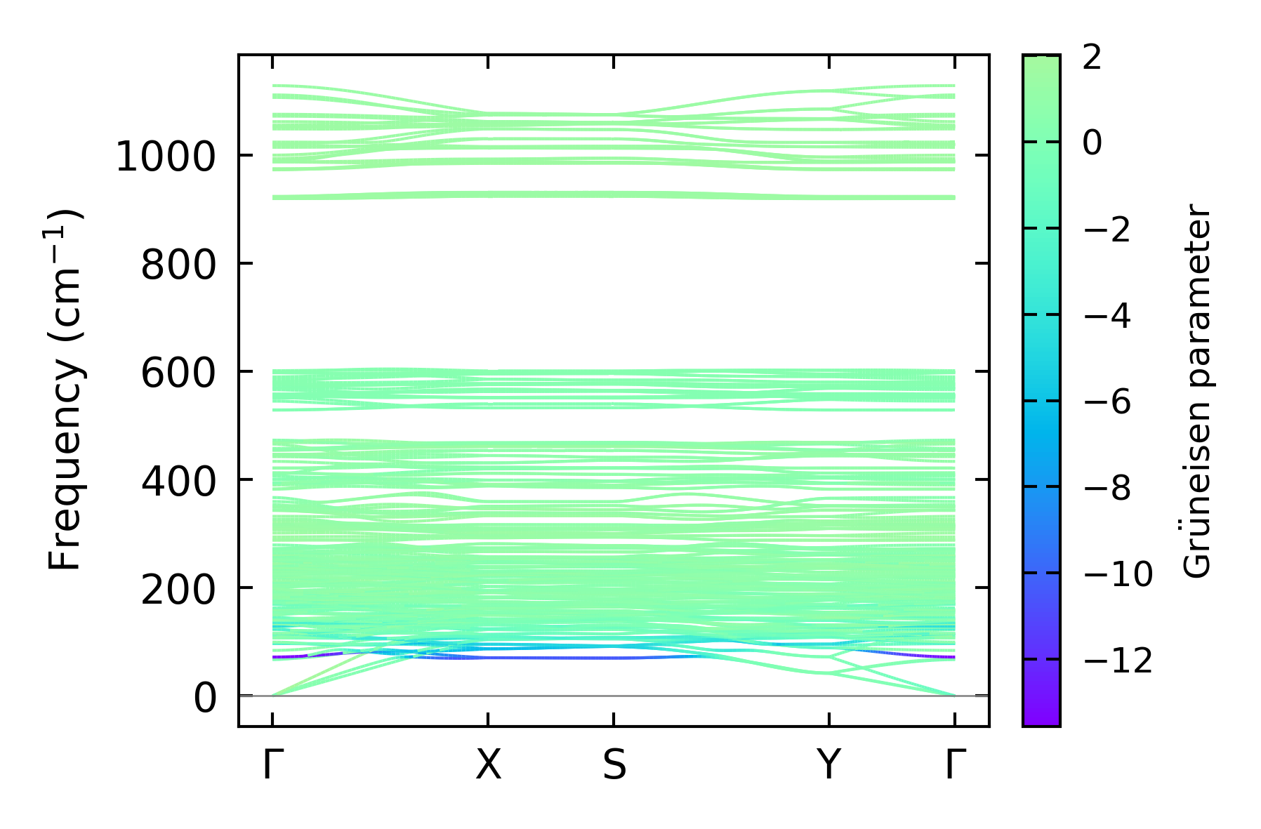
Grüneisen parameters

../../_images/fig_gru_all7329.png

(a) Grüneisen parameters

../../_images/fig_gruneisen7329.png

(b) Phonon dispersion with Grüneisen parameters

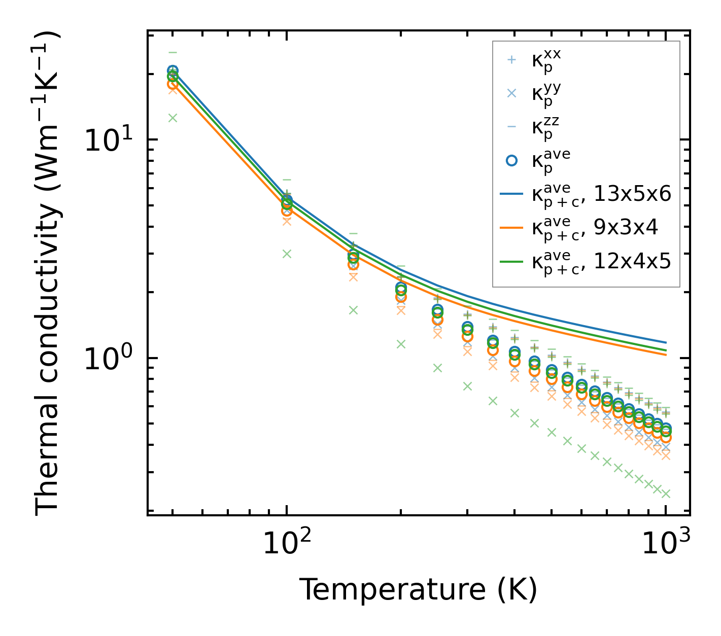
Thermal conductivity

3-phonon (LASSO) — q-mesh: 13x5x6, supercell: 2x1x1

../../_images/fig_kappa13824.png

(a) Temperature-dependent lattice thermal conductivity

../../_images/fig_kappa_vs_grain_size7416.png

(b) Peierls lattice thermal conductivity w.r.t grain size

Phonon lifetime and scattering rates

../../_images/fig_lifetime7263.png

(a) Phonon lifetime due to phonon-phonon scattering

../../_images/fig_scat_rates7262.png

(b) Phonon scattering rates

Cumulative and spectral thermal conductivity

../../_images/fig_cumu_frequency7263.png

(a) Spectral and cumulative thermal conductivity w.r.t frequency

../../_images/fig_cumu_mfp7262.png

(b) Spectral and cumulative thermal conductivity w.r.t MFP

Force constants

../../_images/fig_fc216340.png

(a) Force constants w.r.t atomic distance

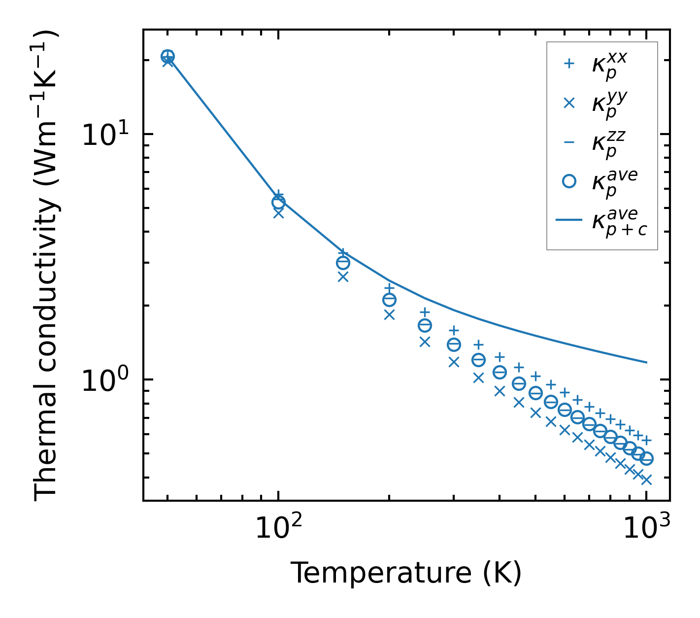
Summary

../../_images/fig_kappa13825.png

(a) Temperature-dependent lattice thermal conductivity

../../_images/fig_times27402.png

(b) Computation time