mp-11709/SmB3O6/anharm

Equation of state

../../_images/fig_bm7716.png

(a) Equation of state

Harmonic properties

../../_images/fig_bandos_pr16454.png

(a) Phonon dispersion with participation ratio and DOS

../../_images/fig_thermo16453.png

(b) Thermodynamic properties

Grüneisen parameters

../../_images/fig_gru_all7112.png

(a) Grüneisen parameters

../../_images/fig_gruneisen7112.png

(b) Phonon dispersion with Grüneisen parameters

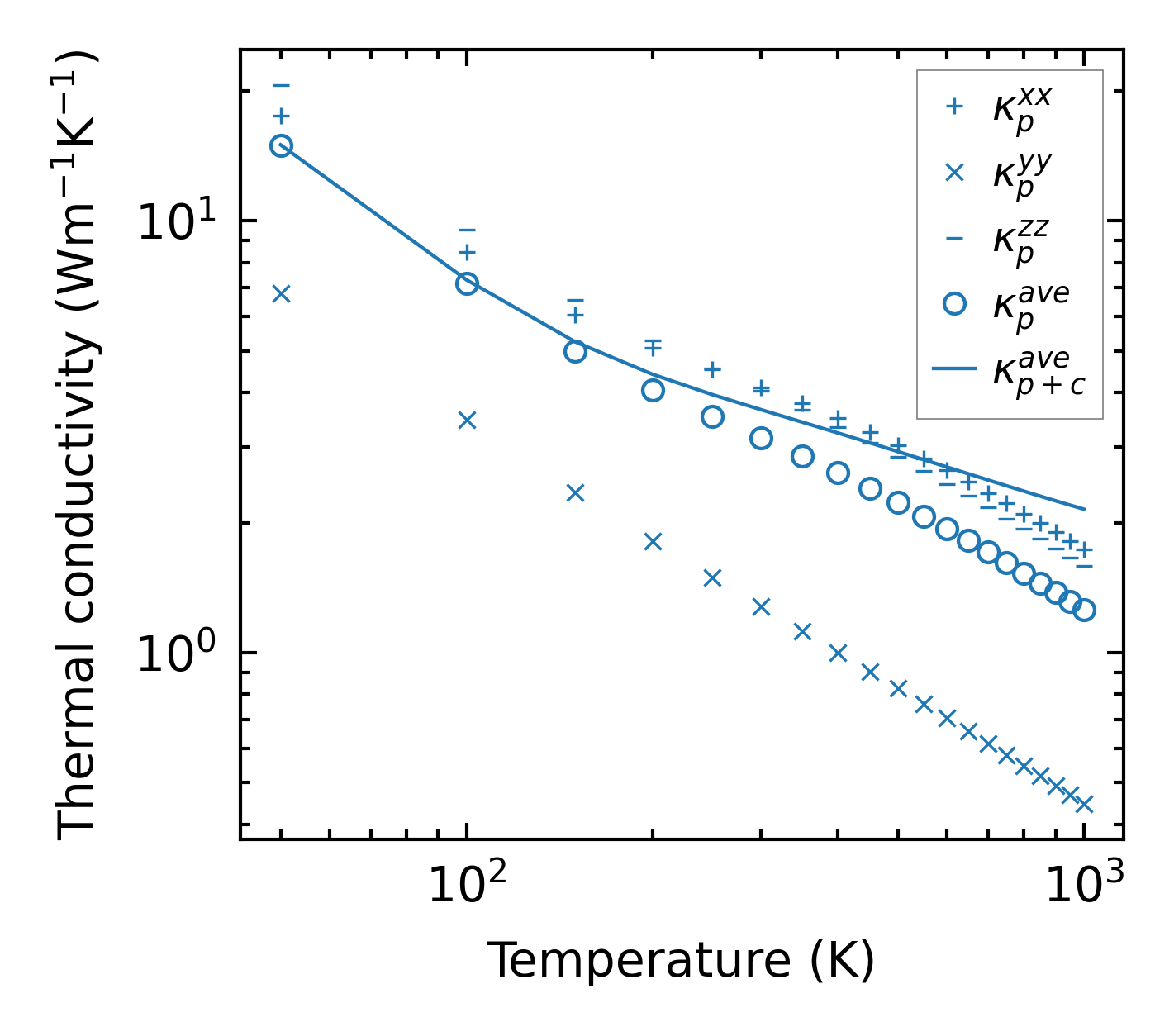
Thermal conductivity

3-phonon (LASSO) — q-mesh: 12x12x12, supercell: 1x1x2

../../_images/fig_kappa13402.png

(a) Temperature-dependent lattice thermal conductivity

../../_images/fig_kappa_vs_grain_size7194.png

(b) Peierls lattice thermal conductivity w.r.t grain size

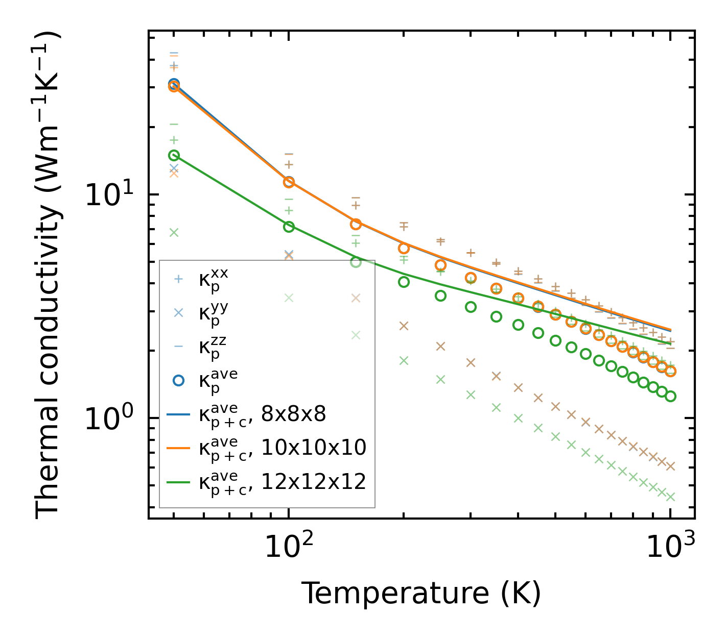
3-phonon (LASSO), supercell 1x2x2 — q-mesh: 12x12x12, supercell: 1x2x2

../../_images/fig_kappa13403.png

(a) Temperature-dependent lattice thermal conductivity

../../_images/fig_kappa_vs_grain_size7195.png

(b) Peierls lattice thermal conductivity w.r.t grain size

Phonon lifetime and scattering rates

../../_images/fig_lifetime7046.png

(a) Phonon lifetime due to phonon-phonon scattering

../../_images/fig_scat_rates7045.png

(b) Phonon scattering rates

Cumulative and spectral thermal conductivity

../../_images/fig_cumu_frequency7046.png

(a) Spectral and cumulative thermal conductivity w.r.t frequency

../../_images/fig_cumu_mfp7045.png

(b) Spectral and cumulative thermal conductivity w.r.t MFP

Force constants

../../_images/fig_fc216034.png

(a) Force constants w.r.t atomic distance

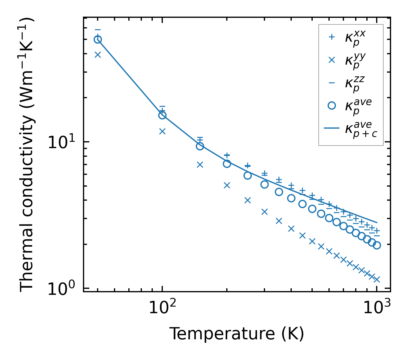
Summary

../../_images/fig_kappa13404.png

(a) Temperature-dependent lattice thermal conductivity

../../_images/fig_times26955.png

(b) Computation time