mp-11714-2/SiC/anharm

Harmonic properties

../../_images/fig_bandos_pr16458.png

(a) Phonon dispersion with participation ratio and DOS

../../_images/fig_thermo16457.png

(b) Thermodynamic properties

Grüneisen parameters

../../_images/fig_gru_all7114.png

(a) Grüneisen parameters

../../_images/fig_gruneisen7114.png

(b) Phonon dispersion with Grüneisen parameters

Thermal conductivity

3-phonon (LASSO) — q-mesh: 24x24x7, supercell: 4x4x1

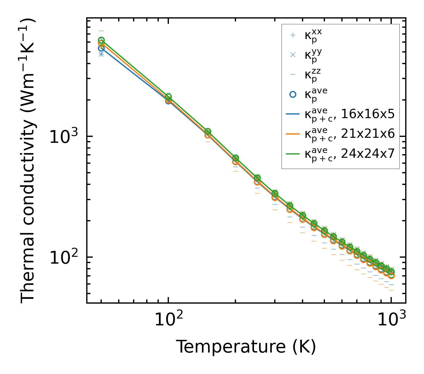
../../_images/fig_kappa13407.png

(a) Temperature-dependent lattice thermal conductivity

../../_images/fig_kappa_vs_grain_size7197.png

(b) Peierls lattice thermal conductivity w.r.t grain size

Phonon lifetime and scattering rates

../../_images/fig_lifetime7048.png

(a) Phonon lifetime due to phonon-phonon scattering

../../_images/fig_scat_rates7047.png

(b) Phonon scattering rates

Cumulative and spectral thermal conductivity

../../_images/fig_cumu_frequency7048.png

(a) Spectral and cumulative thermal conductivity w.r.t frequency

../../_images/fig_cumu_mfp7047.png

(b) Spectral and cumulative thermal conductivity w.r.t MFP

Force constants

../../_images/fig_fc216038.png

(a) Force constants w.r.t atomic distance

Summary

../../_images/fig_kappa13408.png

(a) Temperature-dependent lattice thermal conductivity

../../_images/fig_times26960.png

(b) Computation time