mp-11919/SrBe2N2/anharm

Equation of state

../../_images/fig_bm7729.png

(a) Equation of state

Harmonic properties

../../_images/fig_bandos_pr16488.png

(a) Phonon dispersion with participation ratio and DOS

../../_images/fig_bandos20882.png

(b) Phonon dispersion and DOS

../../_images/fig_thermo16487.png

(c) Thermodynamic properties

Grüneisen parameters

../../_images/fig_gru_all7135.png

(a) Grüneisen parameters

../../_images/fig_gruneisen7135.png

(b) Phonon dispersion with Grüneisen parameters

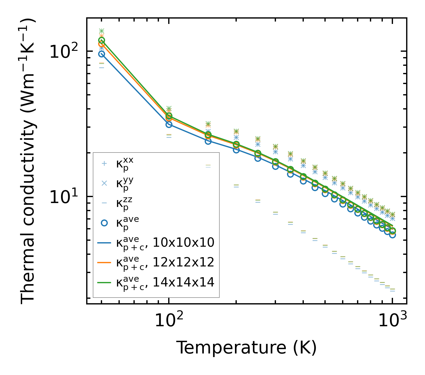
Thermal conductivity

3-phonon (LASSO) — q-mesh: 14x14x14, supercell: 2x2x1

../../_images/fig_kappa13452.png

(a) Temperature-dependent lattice thermal conductivity

../../_images/fig_kappa_vs_grain_size7221.png

(b) Peierls lattice thermal conductivity w.r.t grain size

Phonon lifetime and scattering rates

../../_images/fig_lifetime7069.png

(a) Phonon lifetime due to phonon-phonon scattering

../../_images/fig_scat_rates7068.png

(b) Phonon scattering rates

Cumulative and spectral thermal conductivity

../../_images/fig_cumu_frequency7069.png

(a) Spectral and cumulative thermal conductivity w.r.t frequency

../../_images/fig_cumu_mfp7068.png

(b) Spectral and cumulative thermal conductivity w.r.t MFP

Force constants

../../_images/fig_fc216063.png

(a) Force constants w.r.t atomic distance

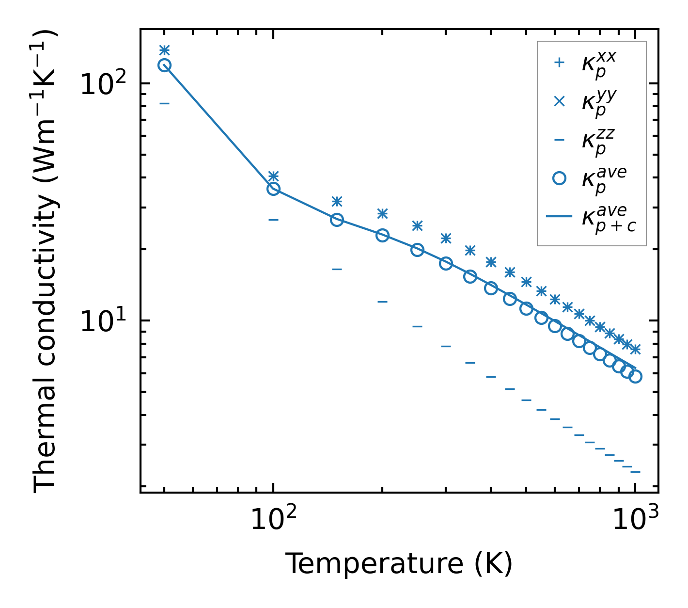
Summary

../../_images/fig_kappa13453.png

(a) Temperature-dependent lattice thermal conductivity

../../_images/fig_times26992.png

(b) Computation time