mp-1985/C3N4/anharm

Harmonic properties

../../_images/fig_bandos_pr248.png

(a) Phonon dispersion with participation ratio and DOS

../../_images/fig_thermo248.png

(b) Thermodynamic properties

Grüneisen parameters

../../_images/fig_gru_all164.png

(a) Grüneisen parameters

../../_images/fig_gruneisen164.png

(b) Phonon dispersion with Grüneisen parameters

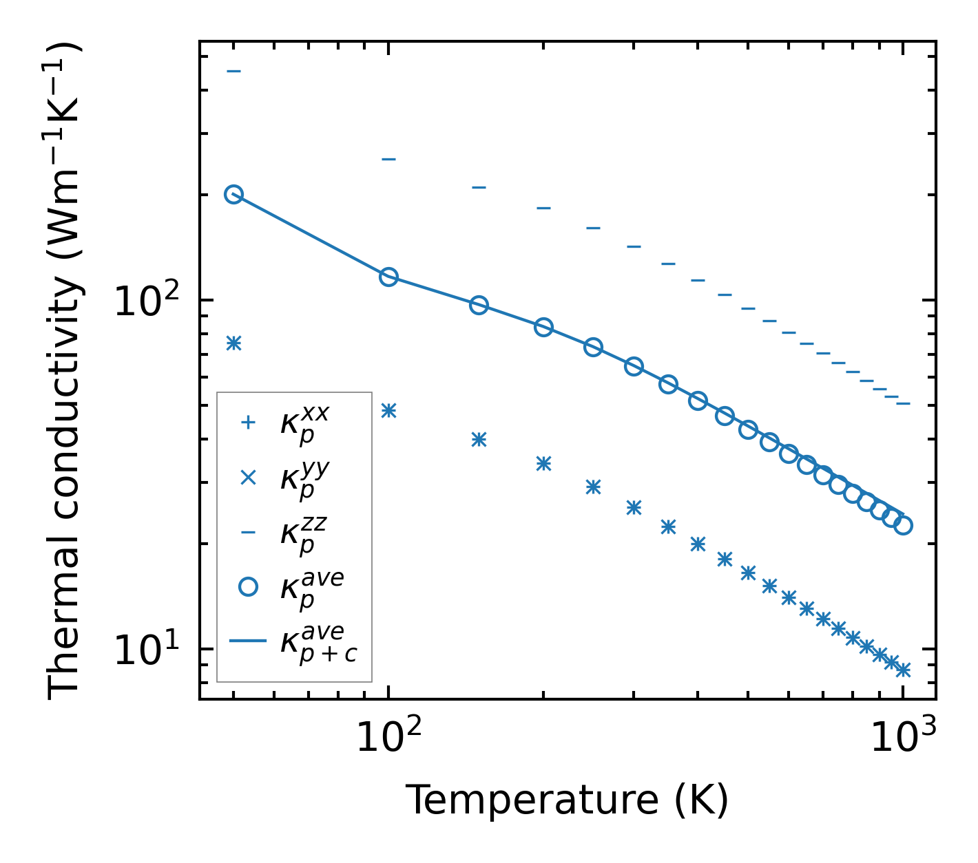
Thermal conductivity

3-phonon (LASSO) — q-mesh: 11x11x31, supercell: 1x1x3

../../_images/fig_kappa318.png

(a) Temperature-dependent lattice thermal conductivity

../../_images/fig_kappa_vs_grain_size165.png

(b) Peierls lattice thermal conductivity w.r.t grain size

Phonon lifetime and scattering rates

../../_images/fig_lifetime163.png

(a) Phonon lifetime due to phonon-phonon scattering

../../_images/fig_scat_rates162.png

(b) Phonon scattering rates

Cumulative and spectral thermal conductivity

../../_images/fig_cumu_frequency163.png

(a) Spectral and cumulative thermal conductivity w.r.t frequency

../../_images/fig_cumu_mfp163.png

(b) Spectral and cumulative thermal conductivity w.r.t MFP

Force constants

../../_images/fig_fc2222.png

(a) Force constants w.r.t atomic distance

Summary

../../_images/fig_kappa319.png

(a) Temperature-dependent lattice thermal conductivity

../../_images/fig_times399.png

(b) Computation time