mp-1186/ZrS2/anharm

Equation of state

../../_images/fig_bm256.png

(a) Equation of state

Harmonic properties

../../_images/fig_bandos_pr724.png

(a) Phonon dispersion with participation ratio and DOS

../../_images/fig_thermo724.png

(b) Thermodynamic properties

Grüneisen parameters

../../_images/fig_gru_all482.png

(a) Grüneisen parameters

../../_images/fig_gruneisen482.png

(b) Phonon dispersion with Grüneisen parameters

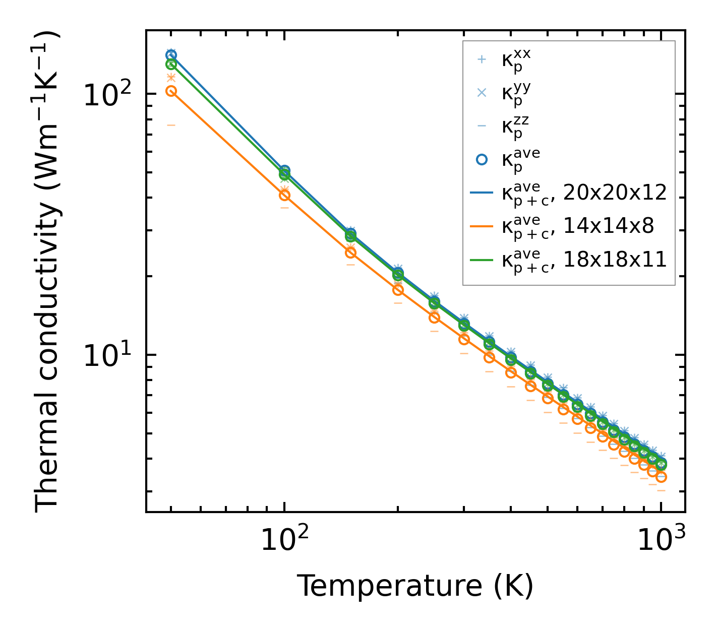
Thermal conductivity

3-phonon (LASSO) — q-mesh: 20x20x12, supercell: 4x4x3

../../_images/fig_kappa937.png

(a) Temperature-dependent lattice thermal conductivity

../../_images/fig_kappa_vs_grain_size489.png

(b) Peierls lattice thermal conductivity w.r.t grain size

Phonon lifetime and scattering rates

../../_images/fig_lifetime480.png

(a) Phonon lifetime due to phonon-phonon scattering

../../_images/fig_scat_rates479.png

(b) Phonon scattering rates

Cumulative and spectral thermal conductivity

../../_images/fig_cumu_frequency480.png

(a) Spectral and cumulative thermal conductivity w.r.t frequency

../../_images/fig_cumu_mfp480.png

(b) Spectral and cumulative thermal conductivity w.r.t MFP

Force constants

../../_images/fig_fc2630.png

(a) Force constants w.r.t atomic distance

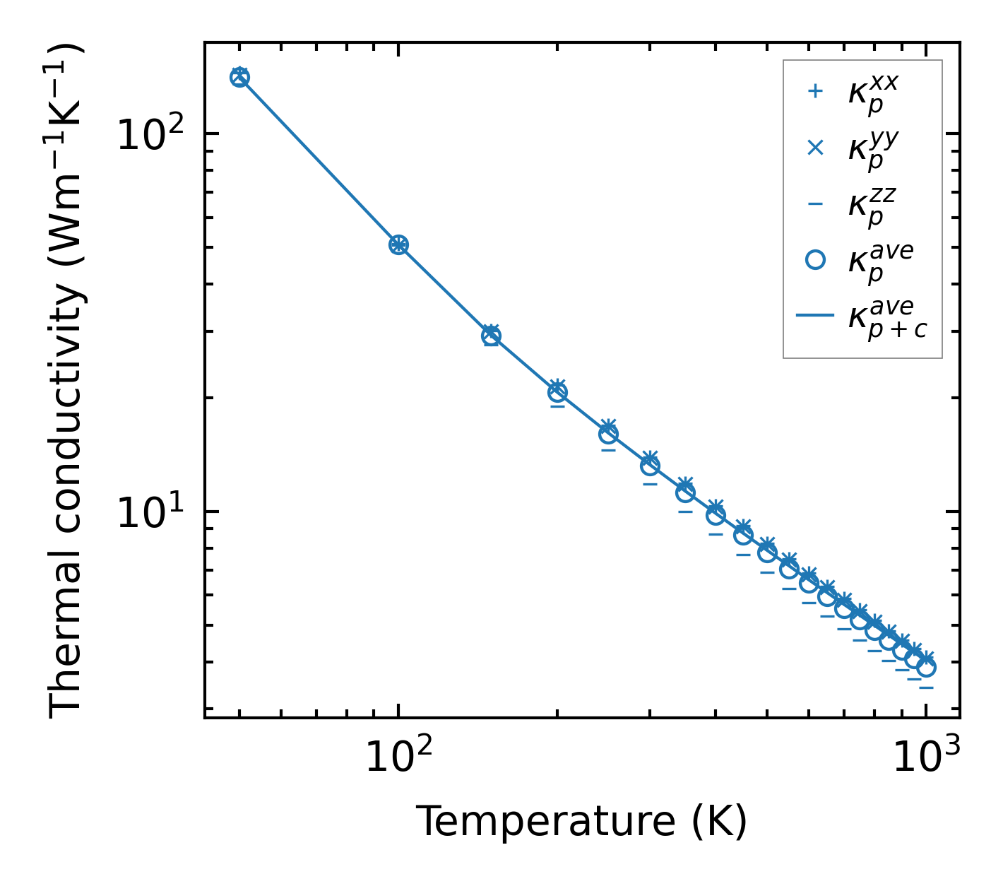
Summary

../../_images/fig_kappa938.png

(a) Temperature-dependent lattice thermal conductivity

../../_images/fig_times1031.png

(b) Computation time