mp-1439-2/TiO2/anharm

Harmonic properties

../../_images/fig_bandos_pr181.png

(a) Phonon dispersion with participation ratio and DOS

../../_images/fig_thermo181.png

(b) Thermodynamic properties

Grüneisen parameters

../../_images/fig_gru_all115.png

(a) Grüneisen parameters

../../_images/fig_gruneisen115.png

(b) Phonon dispersion with Grüneisen parameters

Thermal conductivity

3-phonon (LASSO) — q-mesh: 15x13x14, supercell: 3x2x2

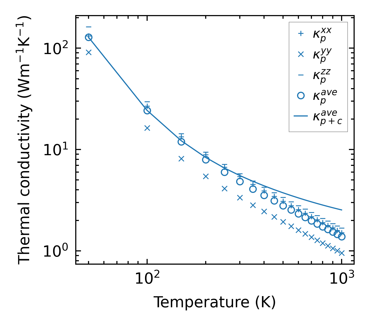
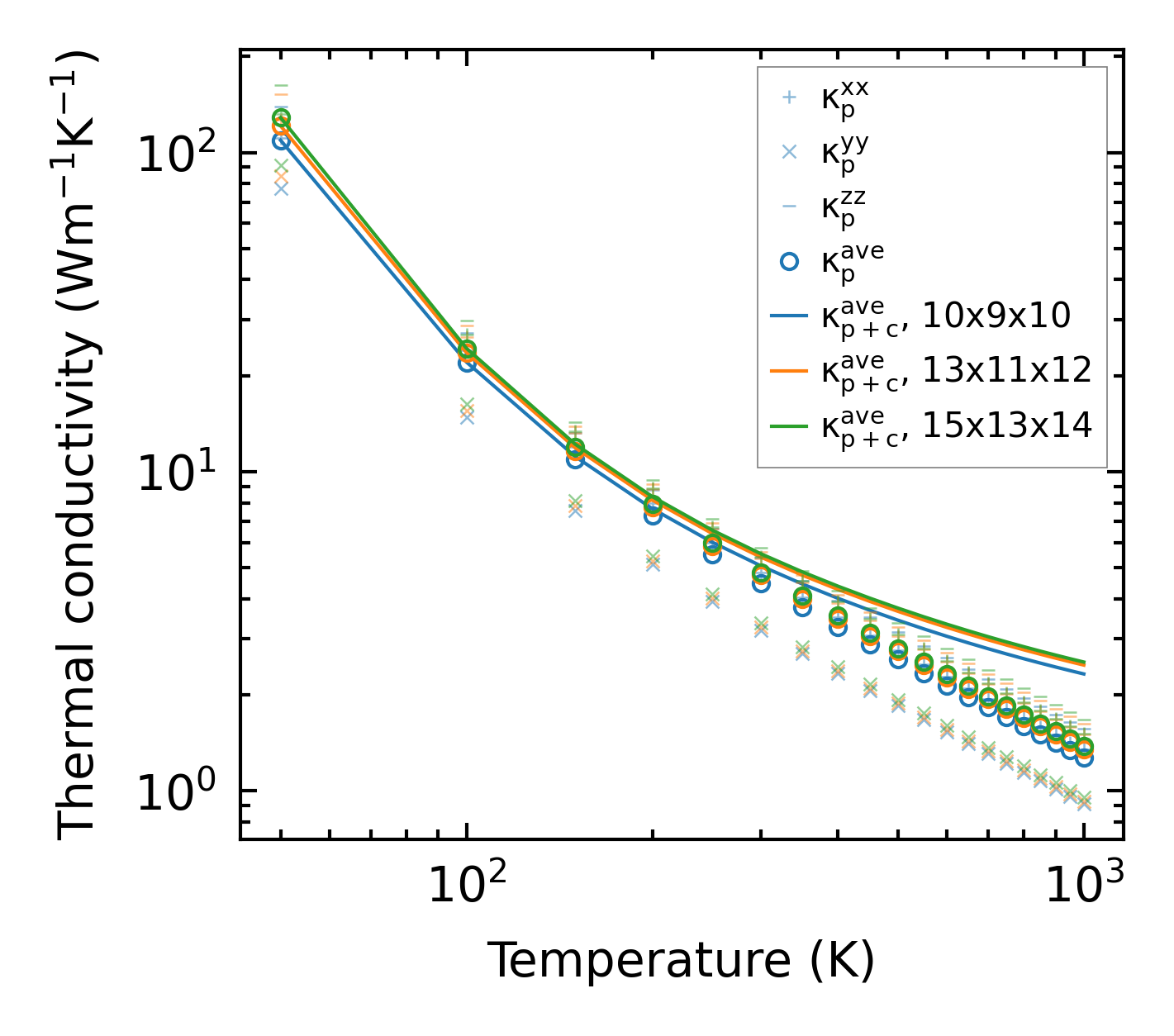
../../_images/fig_kappa225.png

(a) Temperature-dependent lattice thermal conductivity

../../_images/fig_kappa_vs_grain_size117.png

(b) Peierls lattice thermal conductivity w.r.t grain size

Phonon lifetime and scattering rates

../../_images/fig_lifetime115.png

(a) Phonon lifetime due to phonon-phonon scattering

../../_images/fig_scat_rates114.png

(b) Phonon scattering rates

Cumulative and spectral thermal conductivity

../../_images/fig_cumu_frequency115.png

(a) Spectral and cumulative thermal conductivity w.r.t frequency

../../_images/fig_cumu_mfp115.png

(b) Spectral and cumulative thermal conductivity w.r.t MFP

Force constants

../../_images/fig_fc2172.png

(a) Force constants w.r.t atomic distance

Summary

../../_images/fig_kappa226.png

(a) Temperature-dependent lattice thermal conductivity

../../_images/fig_times295.png

(b) Computation time