mp-1413/P2Ru/anharm

Harmonic properties

../../_images/fig_bandos_pr173.png

(a) Phonon dispersion with participation ratio and DOS

../../_images/fig_thermo173.png

(b) Thermodynamic properties

Grüneisen parameters

../../_images/fig_gru_all109.png

(a) Grüneisen parameters

../../_images/fig_gruneisen109.png

(b) Phonon dispersion with Grüneisen parameters

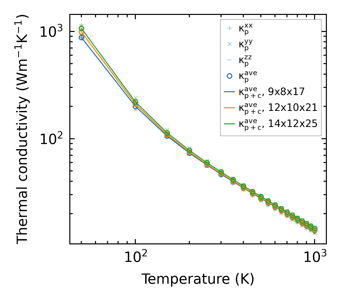
Thermal conductivity

3-phonon (LASSO) — q-mesh: 14x12x25, supercell: 3x2x4

../../_images/fig_kappa213.png

(a) Temperature-dependent lattice thermal conductivity

../../_images/fig_kappa_vs_grain_size111.png

(b) Peierls lattice thermal conductivity w.r.t grain size

Phonon lifetime and scattering rates

../../_images/fig_lifetime109.png

(a) Phonon lifetime due to phonon-phonon scattering

../../_images/fig_scat_rates108.png

(b) Phonon scattering rates

Cumulative and spectral thermal conductivity

../../_images/fig_cumu_frequency109.png

(a) Spectral and cumulative thermal conductivity w.r.t frequency

../../_images/fig_cumu_mfp109.png

(b) Spectral and cumulative thermal conductivity w.r.t MFP

Force constants

../../_images/fig_fc2165.png

(a) Force constants w.r.t atomic distance

Summary

../../_images/fig_kappa214.png

(a) Temperature-dependent lattice thermal conductivity

../../_images/fig_times287.png

(b) Computation time