mp-1224/HgO/anharm

Harmonic properties

../../_images/fig_bandos_pr733.png

(a) Phonon dispersion with participation ratio and DOS

../../_images/fig_thermo733.png

(b) Thermodynamic properties

Grüneisen parameters

../../_images/fig_gru_all488.png

(a) Grüneisen parameters

../../_images/fig_gruneisen488.png

(b) Phonon dispersion with Grüneisen parameters

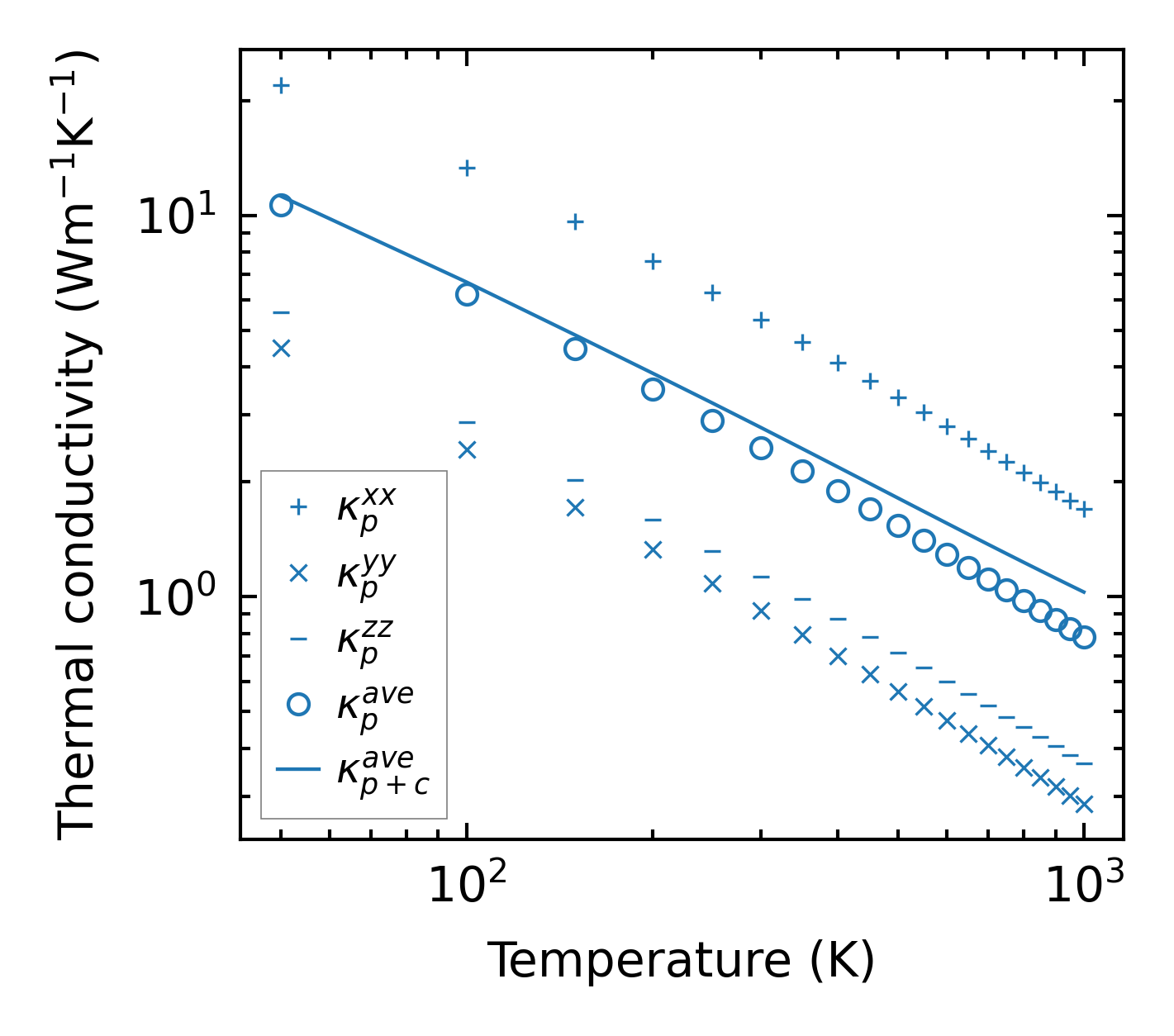
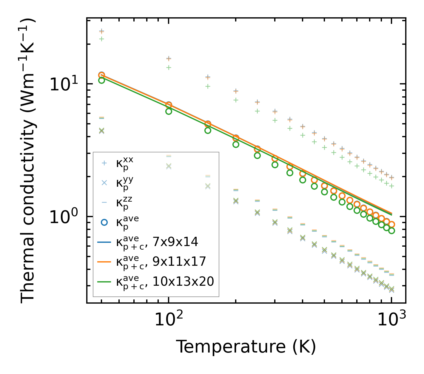
Thermal conductivity

3-phonon (LASSO) — q-mesh: 10x13x20, supercell: 2x2x4

../../_images/fig_kappa949.png

(a) Temperature-dependent lattice thermal conductivity

../../_images/fig_kappa_vs_grain_size495.png

(b) Peierls lattice thermal conductivity w.r.t grain size

Phonon lifetime and scattering rates

../../_images/fig_lifetime486.png

(a) Phonon lifetime due to phonon-phonon scattering

../../_images/fig_scat_rates485.png

(b) Phonon scattering rates

Cumulative and spectral thermal conductivity

../../_images/fig_cumu_frequency486.png

(a) Spectral and cumulative thermal conductivity w.r.t frequency

../../_images/fig_cumu_mfp486.png

(b) Spectral and cumulative thermal conductivity w.r.t MFP

Force constants

../../_images/fig_fc2637.png

(a) Force constants w.r.t atomic distance

Summary

../../_images/fig_kappa950.png

(a) Temperature-dependent lattice thermal conductivity

../../_images/fig_times1041.png

(b) Computation time