mp-1666/Th2S5/anharm

Harmonic properties

../../_images/fig_bandos_pr203.png

(a) Phonon dispersion with participation ratio and DOS

../../_images/fig_thermo203.png

(b) Thermodynamic properties

Grüneisen parameters

../../_images/fig_gru_all130.png

(a) Grüneisen parameters

../../_images/fig_gruneisen130.png

(b) Phonon dispersion with Grüneisen parameters

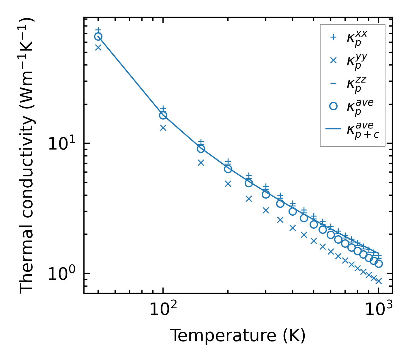
Thermal conductivity

3-phonon (LASSO) — q-mesh: 9x7x9, supercell: 2x1x2

../../_images/fig_kappa254.png

(a) Temperature-dependent lattice thermal conductivity

../../_images/fig_kappa_vs_grain_size131.png

(b) Peierls lattice thermal conductivity w.r.t grain size

Phonon lifetime and scattering rates

../../_images/fig_lifetime129.png

(a) Phonon lifetime due to phonon-phonon scattering

../../_images/fig_scat_rates128.png

(b) Phonon scattering rates

Cumulative and spectral thermal conductivity

../../_images/fig_cumu_frequency129.png

(a) Spectral and cumulative thermal conductivity w.r.t frequency

../../_images/fig_cumu_mfp129.png

(b) Spectral and cumulative thermal conductivity w.r.t MFP

Force constants

../../_images/fig_fc2188.png

(a) Force constants w.r.t atomic distance

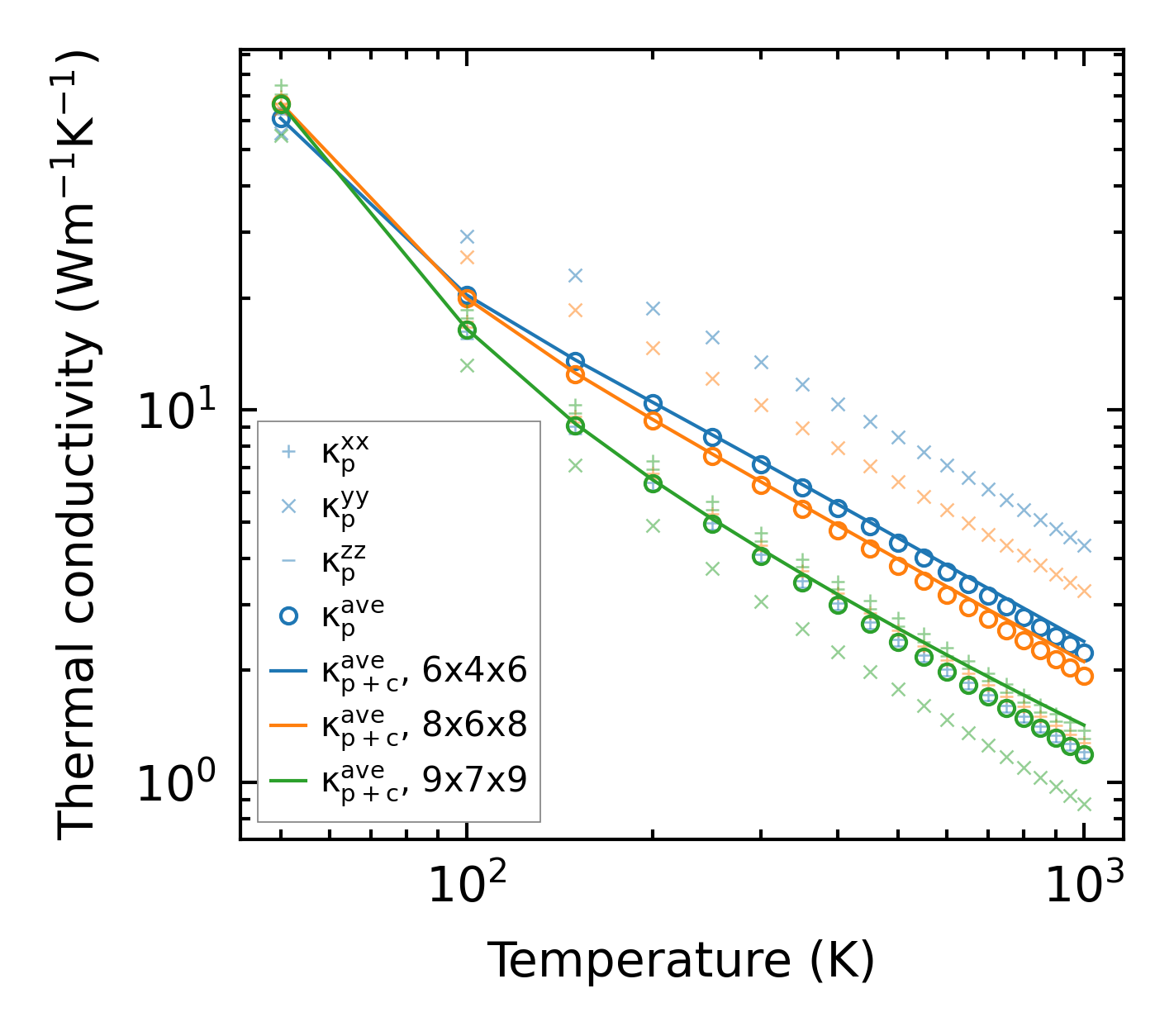
Summary

../../_images/fig_kappa255.png

(a) Temperature-dependent lattice thermal conductivity

../../_images/fig_times339.png

(b) Computation time