mp-1559/Mg3N2/anharm

Harmonic properties

../../_images/fig_bandos_pr191.png

(a) Phonon dispersion with participation ratio and DOS

../../_images/fig_thermo191.png

(b) Thermodynamic properties

Grüneisen parameters

../../_images/fig_gru_all125.png

(a) Grüneisen parameters

../../_images/fig_gruneisen125.png

(b) Phonon dispersion with Grüneisen parameters

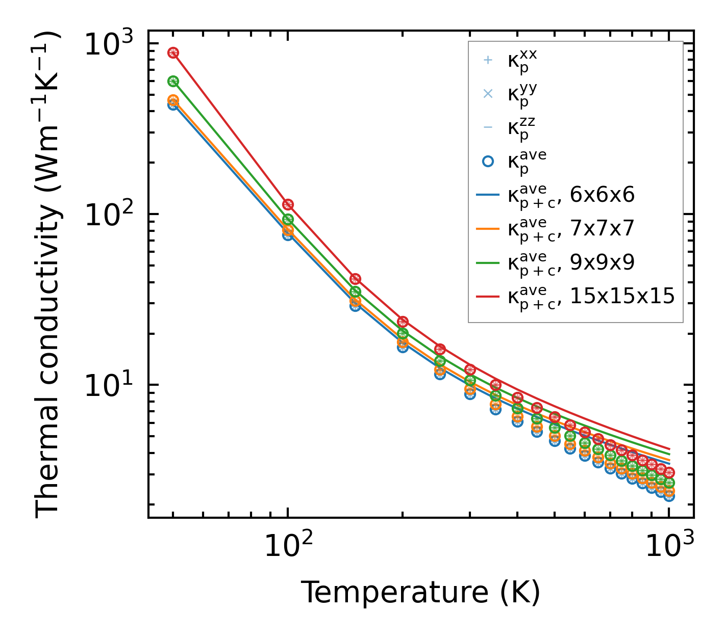
Thermal conductivity

Force constants

../../_images/fig_fc2177.png

(a) Force constants w.r.t atomic distance

Summary

../../_images/fig_kappa245.png

(a) Temperature-dependent lattice thermal conductivity

../../_images/fig_times312.png

(b) Computation time