mp-1863/SiAs/anharm

Equation of state

../../_images/fig_bm54.png

(a) Equation of state

Harmonic properties

../../_images/fig_bandos_pr232.png

(a) Phonon dispersion with participation ratio and DOS

../../_images/fig_thermo232.png

(b) Thermodynamic properties

Grüneisen parameters

../../_images/fig_gru_all152.png

(a) Grüneisen parameters

../../_images/fig_gruneisen152.png

(b) Phonon dispersion with Grüneisen parameters

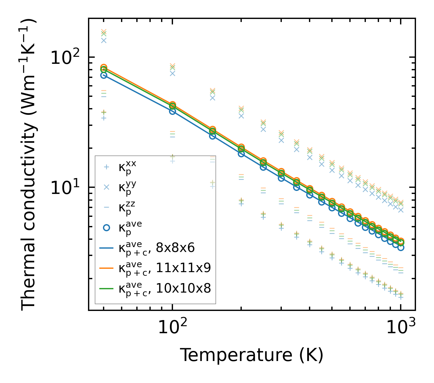
Thermal conductivity

3-phonon (LASSO) — q-mesh: 11x11x9, supercell: 1x3x2

../../_images/fig_kappa295.png

(a) Temperature-dependent lattice thermal conductivity

../../_images/fig_kappa_vs_grain_size153.png

(b) Peierls lattice thermal conductivity w.r.t grain size

Phonon lifetime and scattering rates

../../_images/fig_lifetime151.png

(a) Phonon lifetime due to phonon-phonon scattering

../../_images/fig_scat_rates150.png

(b) Phonon scattering rates

Cumulative and spectral thermal conductivity

../../_images/fig_cumu_frequency151.png

(a) Spectral and cumulative thermal conductivity w.r.t frequency

../../_images/fig_cumu_mfp151.png

(b) Spectral and cumulative thermal conductivity w.r.t MFP

Force constants

../../_images/fig_fc2209.png

(a) Force constants w.r.t atomic distance

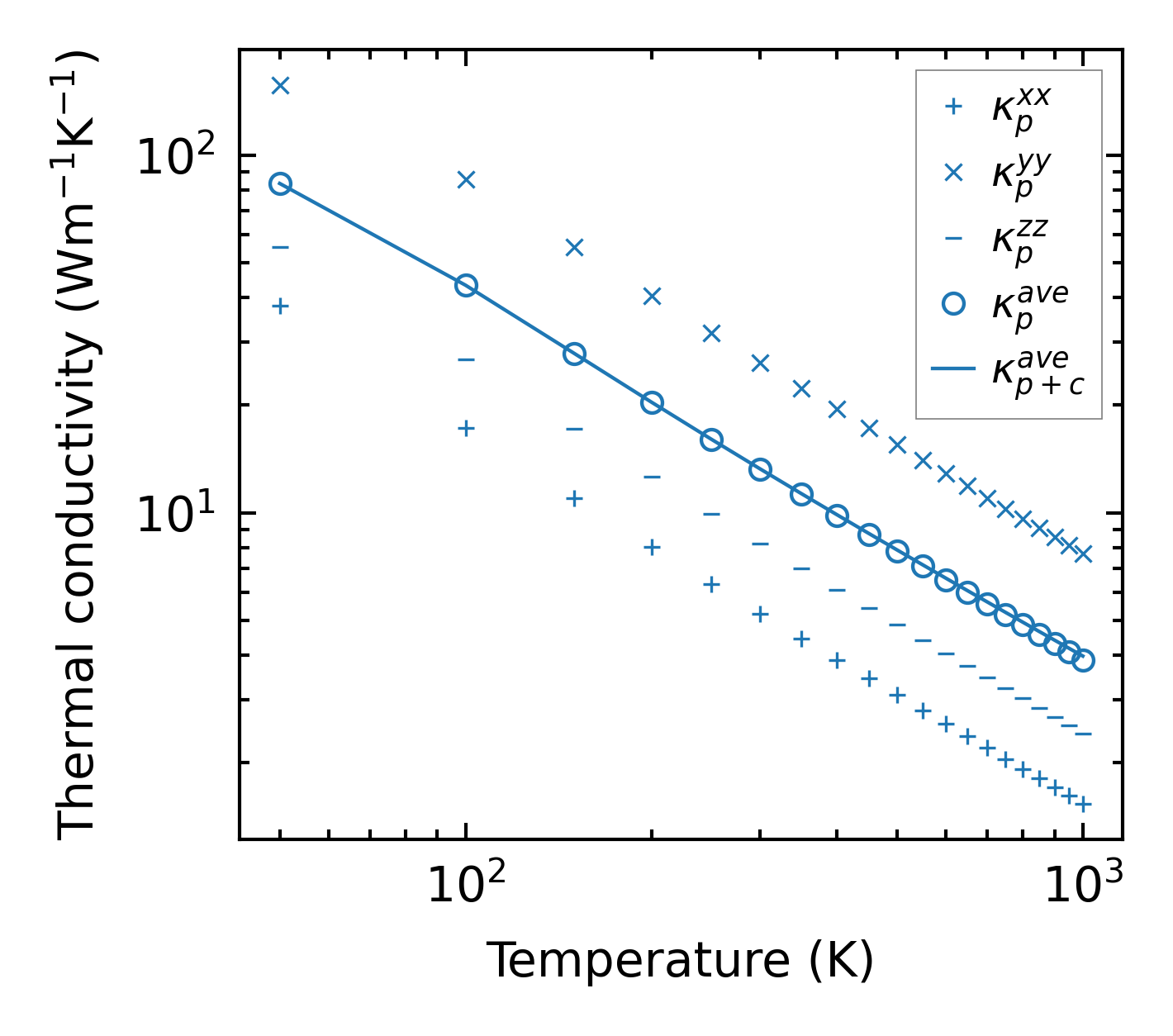
Summary

../../_images/fig_kappa296.png

(a) Temperature-dependent lattice thermal conductivity

../../_images/fig_times378.png

(b) Computation time