mp-1074/RbSi/anharm

Equation of state

../../_images/fig_bm250.png

(a) Equation of state

Harmonic properties

../../_images/fig_bandos_pr706.png

(a) Phonon dispersion with participation ratio and DOS

../../_images/fig_thermo706.png

(b) Thermodynamic properties

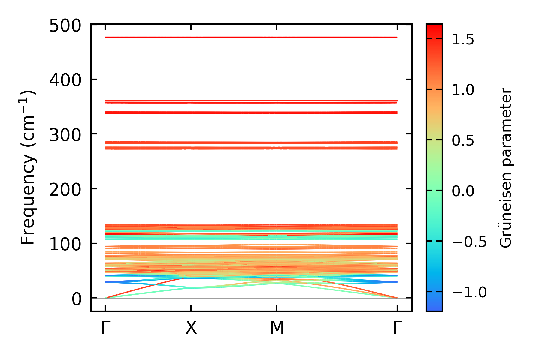
Grüneisen parameters

../../_images/fig_gru_all470.png

(a) Grüneisen parameters

../../_images/fig_gruneisen470.png

(b) Phonon dispersion with Grüneisen parameters

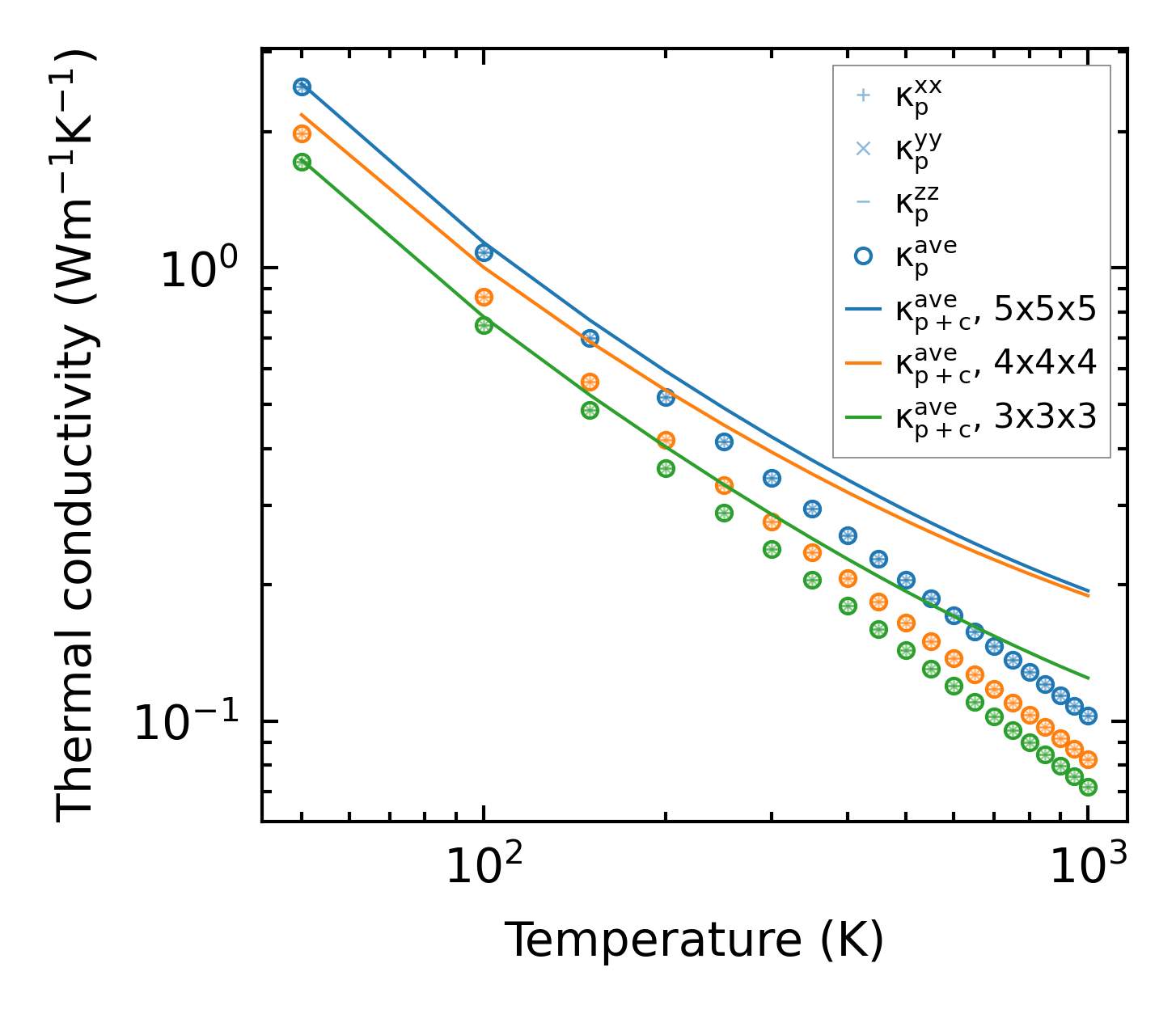
Thermal conductivity

3-phonon (LASSO) — q-mesh: 5x5x5, supercell: 1x1x1

../../_images/fig_kappa913.png

(a) Temperature-dependent lattice thermal conductivity

../../_images/fig_kappa_vs_grain_size477.png

(b) Peierls lattice thermal conductivity w.r.t grain size

Phonon lifetime and scattering rates

../../_images/fig_lifetime468.png

(a) Phonon lifetime due to phonon-phonon scattering

../../_images/fig_scat_rates467.png

(b) Phonon scattering rates

Cumulative and spectral thermal conductivity

../../_images/fig_cumu_frequency468.png

(a) Spectral and cumulative thermal conductivity w.r.t frequency

../../_images/fig_cumu_mfp468.png

(b) Spectral and cumulative thermal conductivity w.r.t MFP

Force constants

../../_images/fig_fc2615.png

(a) Force constants w.r.t atomic distance

Summary

../../_images/fig_kappa914.png

(a) Temperature-dependent lattice thermal conductivity

../../_images/fig_times1008.png

(b) Computation time