mp-1346/B6O/anharm

Harmonic properties

../../_images/fig_bandos_pr165.png

(a) Phonon dispersion with participation ratio and DOS

../../_images/fig_thermo165.png

(b) Thermodynamic properties

Grüneisen parameters

../../_images/fig_gru_all101.png

(a) Grüneisen parameters

../../_images/fig_gruneisen101.png

(b) Phonon dispersion with Grüneisen parameters

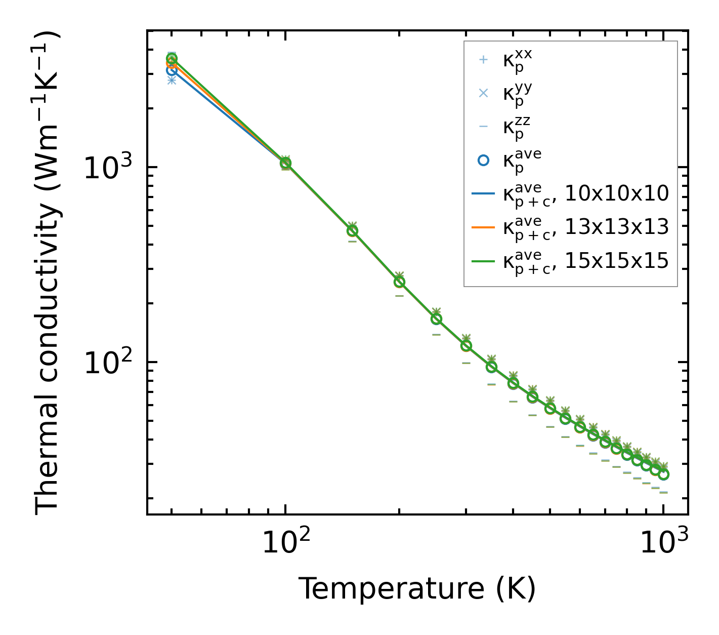
Thermal conductivity

3-phonon (LASSO) — q-mesh: 15x15x15, supercell: 1x1x1

../../_images/fig_kappa197.png

(a) Temperature-dependent lattice thermal conductivity

../../_images/fig_kappa_vs_grain_size103.png

(b) Peierls lattice thermal conductivity w.r.t grain size

Phonon lifetime and scattering rates

../../_images/fig_lifetime101.png

(a) Phonon lifetime due to phonon-phonon scattering

../../_images/fig_scat_rates101.png

(b) Phonon scattering rates

Cumulative and spectral thermal conductivity

../../_images/fig_cumu_frequency101.png

(a) Spectral and cumulative thermal conductivity w.r.t frequency

../../_images/fig_cumu_mfp101.png

(b) Spectral and cumulative thermal conductivity w.r.t MFP

Force constants

../../_images/fig_fc2158.png

(a) Force constants w.r.t atomic distance

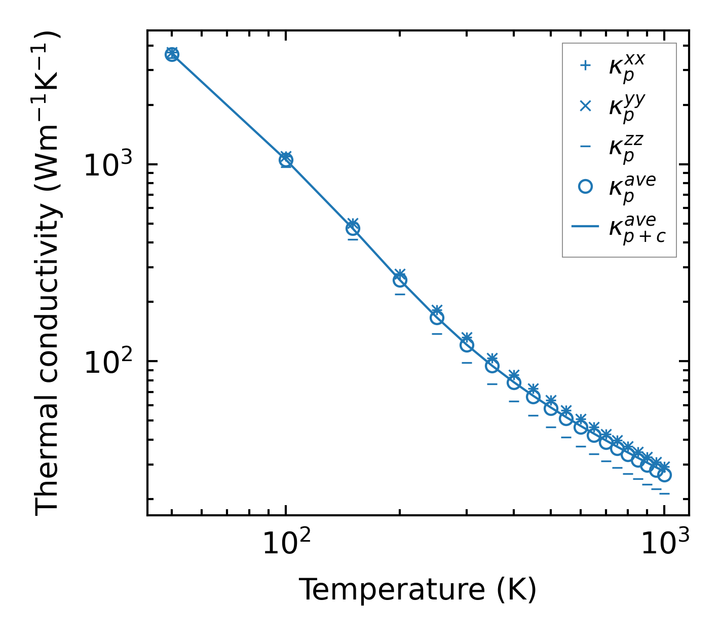
Summary

../../_images/fig_kappa198.png

(a) Temperature-dependent lattice thermal conductivity

../../_images/fig_times277.png

(b) Computation time