mp-1541/BeSe/anharm

Harmonic properties

../../_images/fig_bandos_pr189.png

(a) Phonon dispersion with participation ratio and DOS

../../_images/fig_thermo189.png

(b) Thermodynamic properties

Grüneisen parameters

../../_images/fig_gru_all123.png

(a) Grüneisen parameters

../../_images/fig_gruneisen123.png

(b) Phonon dispersion with Grüneisen parameters

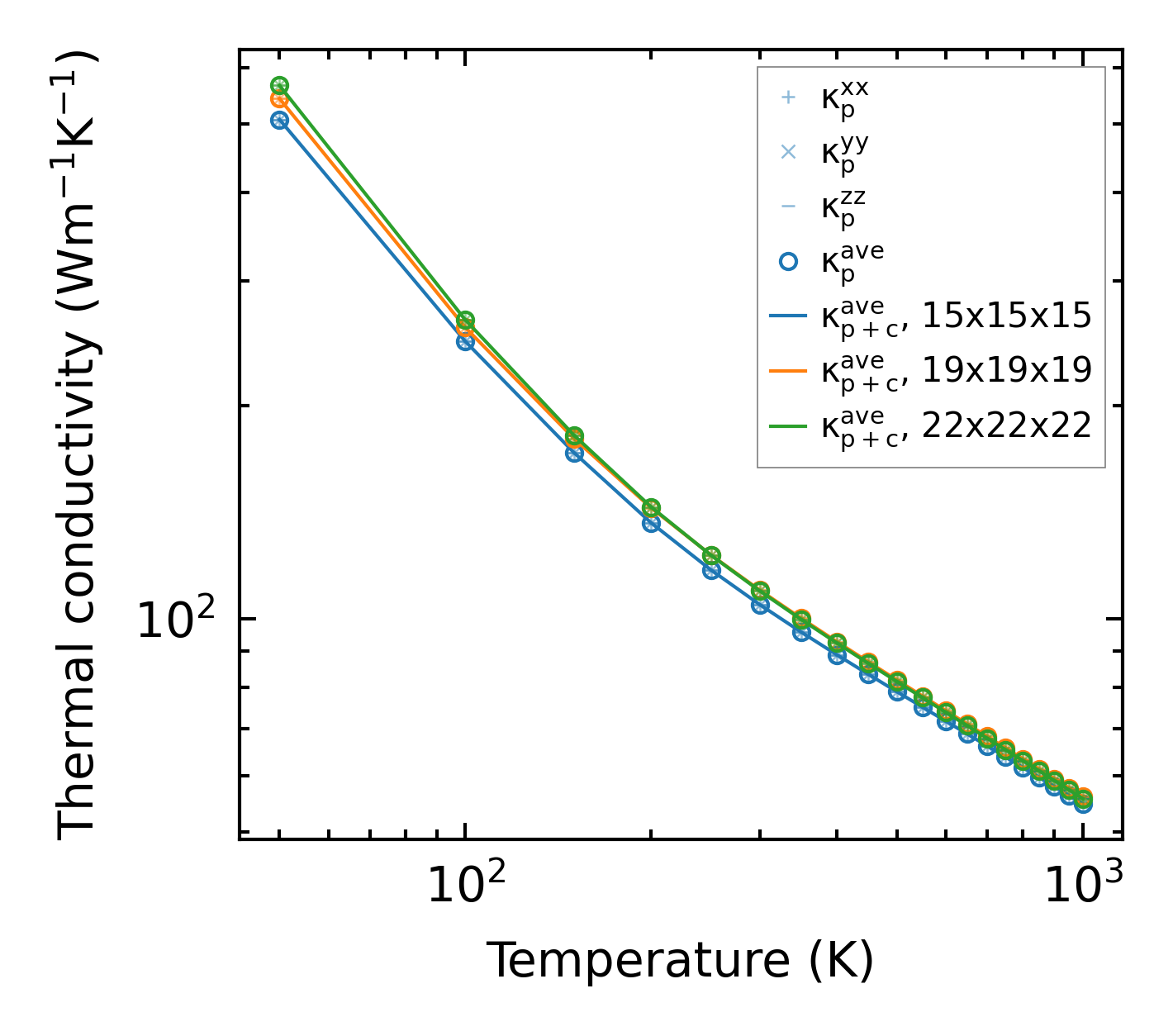
Thermal conductivity

3-phonon — q-mesh: 22x22x22, supercell: 2x2x2

../../_images/fig_kappa241.png

(a) Temperature-dependent lattice thermal conductivity

../../_images/fig_kappa_vs_grain_size125.png

(b) Peierls lattice thermal conductivity w.r.t grain size

Phonon lifetime and scattering rates

../../_images/fig_lifetime123.png

(a) Phonon lifetime due to phonon-phonon scattering

../../_images/fig_scat_rates122.png

(b) Phonon scattering rates

Cumulative and spectral thermal conductivity

../../_images/fig_cumu_frequency123.png

(a) Spectral and cumulative thermal conductivity w.r.t frequency

../../_images/fig_cumu_mfp123.png

(b) Spectral and cumulative thermal conductivity w.r.t MFP

Force constants

../../_images/fig_fc312.png

(a) Force constants w.r.t atomic distance

Summary

../../_images/fig_kappa242.png

(a) Temperature-dependent lattice thermal conductivity

../../_images/fig_times310.png

(b) Computation time