mp-1439/TiO2/anharm

Equation of state

../../_images/fig_bm26.png

(a) Equation of state

Harmonic properties

../../_images/fig_bandos_pr180.png

(a) Phonon dispersion with participation ratio and DOS

../../_images/fig_thermo180.png

(b) Thermodynamic properties

Grüneisen parameters

../../_images/fig_gru_all114.png

(a) Grüneisen parameters

../../_images/fig_gruneisen114.png

(b) Phonon dispersion with Grüneisen parameters

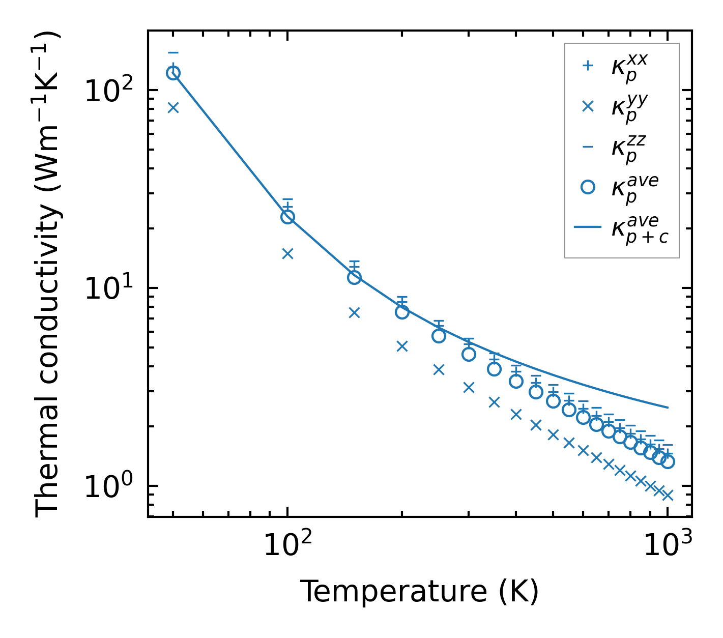
Thermal conductivity

3-phonon (LASSO) — q-mesh: 15x13x14, supercell: 3x2x2

../../_images/fig_kappa223.png

(a) Temperature-dependent lattice thermal conductivity

../../_images/fig_kappa_vs_grain_size116.png

(b) Peierls lattice thermal conductivity w.r.t grain size

Phonon lifetime and scattering rates

../../_images/fig_lifetime114.png

(a) Phonon lifetime due to phonon-phonon scattering

../../_images/fig_scat_rates113.png

(b) Phonon scattering rates

Cumulative and spectral thermal conductivity

../../_images/fig_cumu_frequency114.png

(a) Spectral and cumulative thermal conductivity w.r.t frequency

../../_images/fig_cumu_mfp114.png

(b) Spectral and cumulative thermal conductivity w.r.t MFP

Force constants

../../_images/fig_fc2171.png

(a) Force constants w.r.t atomic distance

Summary

../../_images/fig_kappa224.png

(a) Temperature-dependent lattice thermal conductivity

../../_images/fig_times294.png

(b) Computation time