mp-1125/Li2S/anharm

Harmonic properties

../../_images/fig_bandos_pr712.png

(a) Phonon dispersion with participation ratio and DOS

../../_images/fig_thermo712.png

(b) Thermodynamic properties

Grüneisen parameters

../../_images/fig_gru_all476.png

(a) Grüneisen parameters

../../_images/fig_gruneisen476.png

(b) Phonon dispersion with Grüneisen parameters

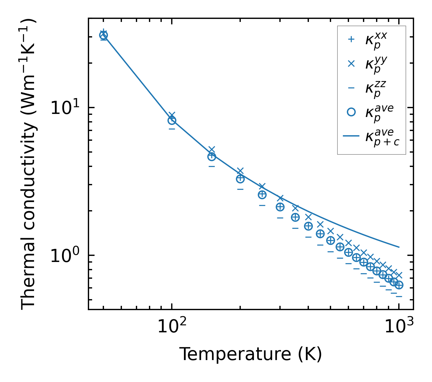
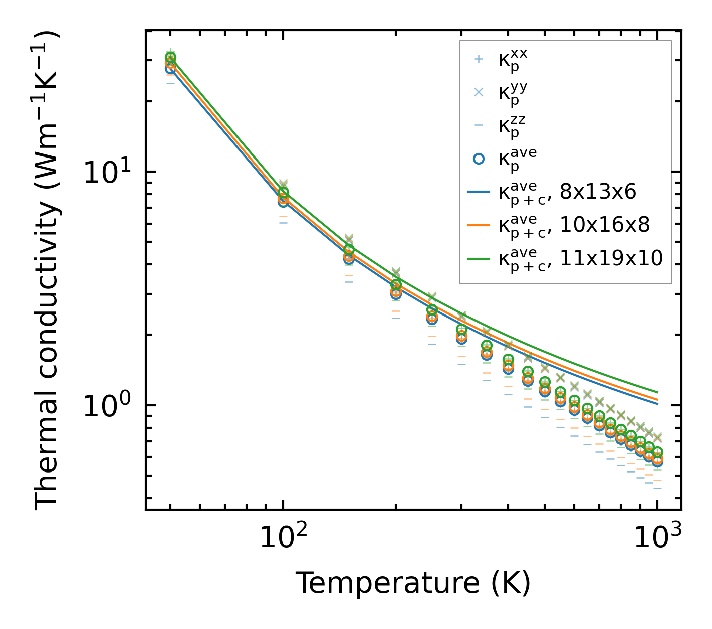
Thermal conductivity

3-phonon (LASSO) — q-mesh: 11x19x10, supercell: 2x3x2

../../_images/fig_kappa925.png

(a) Temperature-dependent lattice thermal conductivity

../../_images/fig_kappa_vs_grain_size483.png

(b) Peierls lattice thermal conductivity w.r.t grain size

Phonon lifetime and scattering rates

../../_images/fig_lifetime474.png

(a) Phonon lifetime due to phonon-phonon scattering

../../_images/fig_scat_rates473.png

(b) Phonon scattering rates

Cumulative and spectral thermal conductivity

../../_images/fig_cumu_frequency474.png

(a) Spectral and cumulative thermal conductivity w.r.t frequency

../../_images/fig_cumu_mfp474.png

(b) Spectral and cumulative thermal conductivity w.r.t MFP

Force constants

../../_images/fig_fc2620.png

(a) Force constants w.r.t atomic distance

Summary

../../_images/fig_kappa926.png

(a) Temperature-dependent lattice thermal conductivity

../../_images/fig_times1017.png

(b) Computation time