mp-1115/PtSe2/anharm

Harmonic properties

../../_images/fig_bandos_pr711.png

(a) Phonon dispersion with participation ratio and DOS

../../_images/fig_thermo711.png

(b) Thermodynamic properties

Grüneisen parameters

../../_images/fig_gru_all475.png

(a) Grüneisen parameters

../../_images/fig_gruneisen475.png

(b) Phonon dispersion with Grüneisen parameters

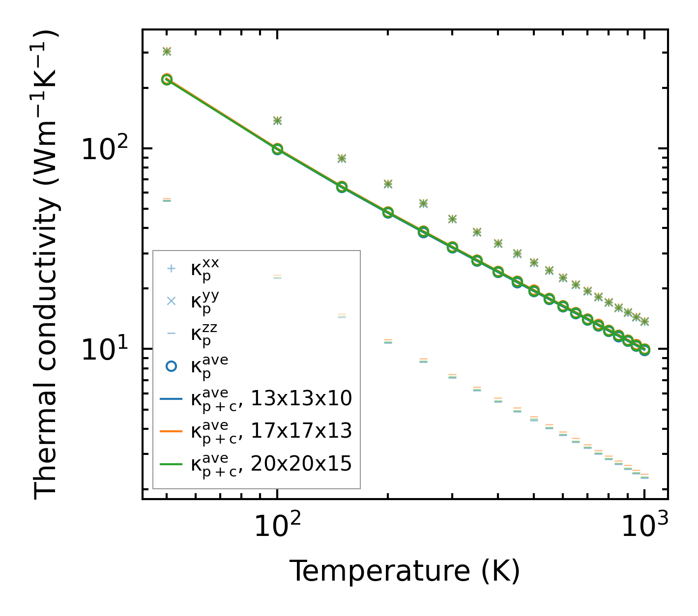
Thermal conductivity

3-phonon (LASSO) — q-mesh: 20x20x15, supercell: 4x4x3

../../_images/fig_kappa923.png

(a) Temperature-dependent lattice thermal conductivity

../../_images/fig_kappa_vs_grain_size482.png

(b) Peierls lattice thermal conductivity w.r.t grain size

Phonon lifetime and scattering rates

../../_images/fig_lifetime473.png

(a) Phonon lifetime due to phonon-phonon scattering

../../_images/fig_scat_rates472.png

(b) Phonon scattering rates

Cumulative and spectral thermal conductivity

../../_images/fig_cumu_frequency473.png

(a) Spectral and cumulative thermal conductivity w.r.t frequency

../../_images/fig_cumu_mfp473.png

(b) Spectral and cumulative thermal conductivity w.r.t MFP

Force constants

../../_images/fig_fc2619.png

(a) Force constants w.r.t atomic distance

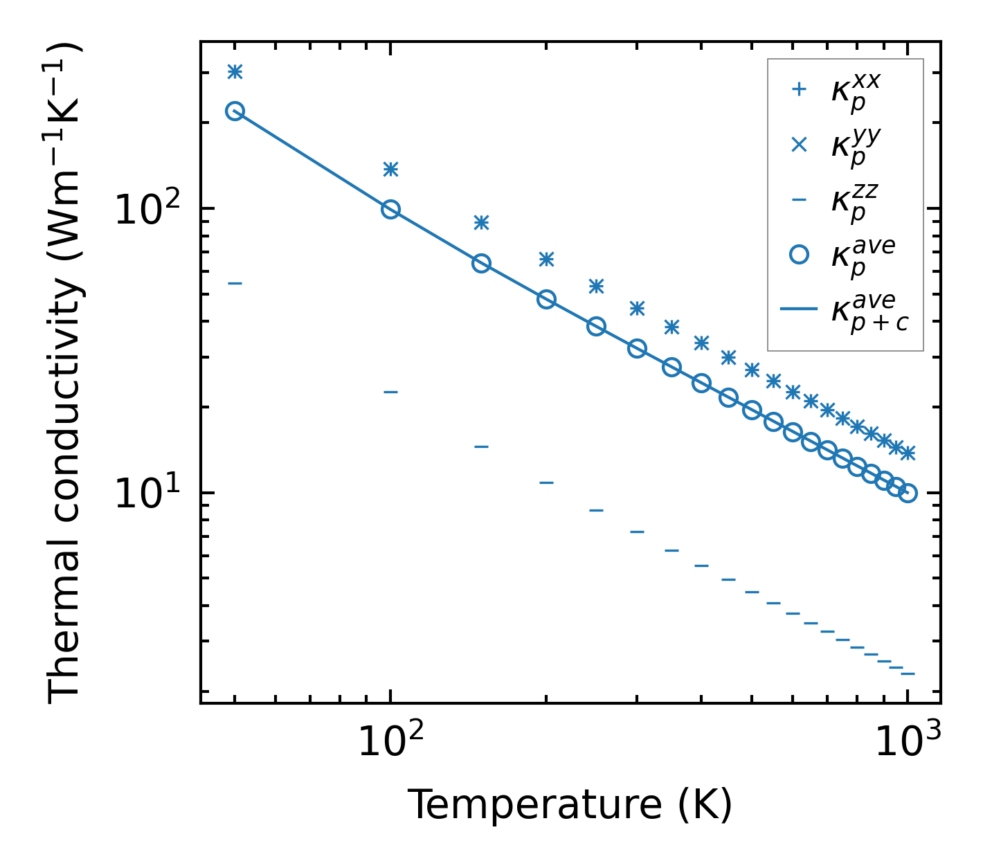
Summary

../../_images/fig_kappa924.png

(a) Temperature-dependent lattice thermal conductivity

../../_images/fig_times1016.png

(b) Computation time