mp-1883-2/SnTe/anharm

Equation of state

../../_images/fig_bm57.png

(a) Equation of state

Harmonic properties

../../_images/fig_bandos_pr237.png

(a) Phonon dispersion with participation ratio and DOS

../../_images/fig_bandos246.png

(b) Phonon dispersion and DOS

../../_images/fig_thermo237.png

(c) Thermodynamic properties

Grüneisen parameters

../../_images/fig_gru_all155.png

(a) Grüneisen parameters

../../_images/fig_gruneisen155.png

(b) Phonon dispersion with Grüneisen parameters

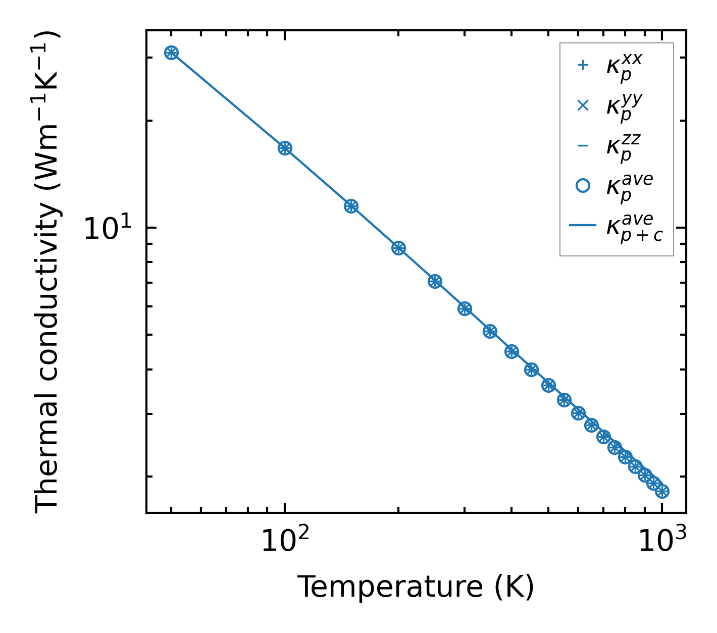
Thermal conductivity

3-phonon, supercell 3x3x3 — q-mesh: 18x18x18, supercell: 3x3x3

../../_images/fig_kappa301.png

(a) Temperature-dependent lattice thermal conductivity

../../_images/fig_kappa_vs_grain_size156.png

(b) Peierls lattice thermal conductivity w.r.t grain size

Phonon lifetime and scattering rates

../../_images/fig_lifetime154.png

(a) Phonon lifetime due to phonon-phonon scattering

../../_images/fig_scat_rates153.png

(b) Phonon scattering rates

Cumulative and spectral thermal conductivity

../../_images/fig_cumu_frequency154.png

(a) Spectral and cumulative thermal conductivity w.r.t frequency

../../_images/fig_cumu_mfp154.png

(b) Spectral and cumulative thermal conductivity w.r.t MFP

Force constants

../../_images/fig_fc323.png

(a) Force constants w.r.t atomic distance

Summary

../../_images/fig_times386.png

(a) Computation time