mp-1249/MgF2/anharm

Harmonic properties

../../_images/fig_bandos_pr149.png

(a) Phonon dispersion with participation ratio and DOS

../../_images/fig_thermo149.png

(b) Thermodynamic properties

Grüneisen parameters

../../_images/fig_gru_all86.png

(a) Grüneisen parameters

../../_images/fig_gruneisen86.png

(b) Phonon dispersion with Grüneisen parameters

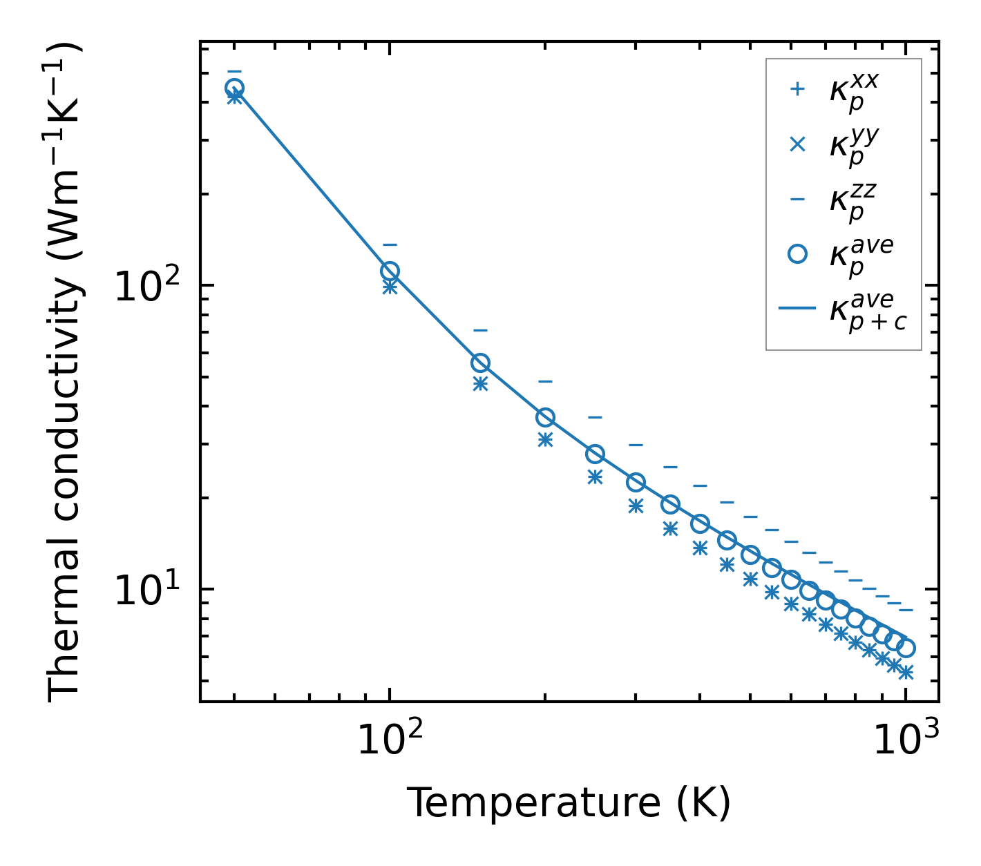
Thermal conductivity

3-phonon (LASSO) — q-mesh: 15x15x23, supercell: 2x2x4

../../_images/fig_kappa167.png

(a) Temperature-dependent lattice thermal conductivity

../../_images/fig_kappa_vs_grain_size88.png

(b) Peierls lattice thermal conductivity w.r.t grain size

Phonon lifetime and scattering rates

../../_images/fig_lifetime86.png

(a) Phonon lifetime due to phonon-phonon scattering

../../_images/fig_scat_rates86.png

(b) Phonon scattering rates

Cumulative and spectral thermal conductivity

../../_images/fig_cumu_frequency86.png

(a) Spectral and cumulative thermal conductivity w.r.t frequency

../../_images/fig_cumu_mfp86.png

(b) Spectral and cumulative thermal conductivity w.r.t MFP

Force constants

../../_images/fig_fc2147.png

(a) Force constants w.r.t atomic distance

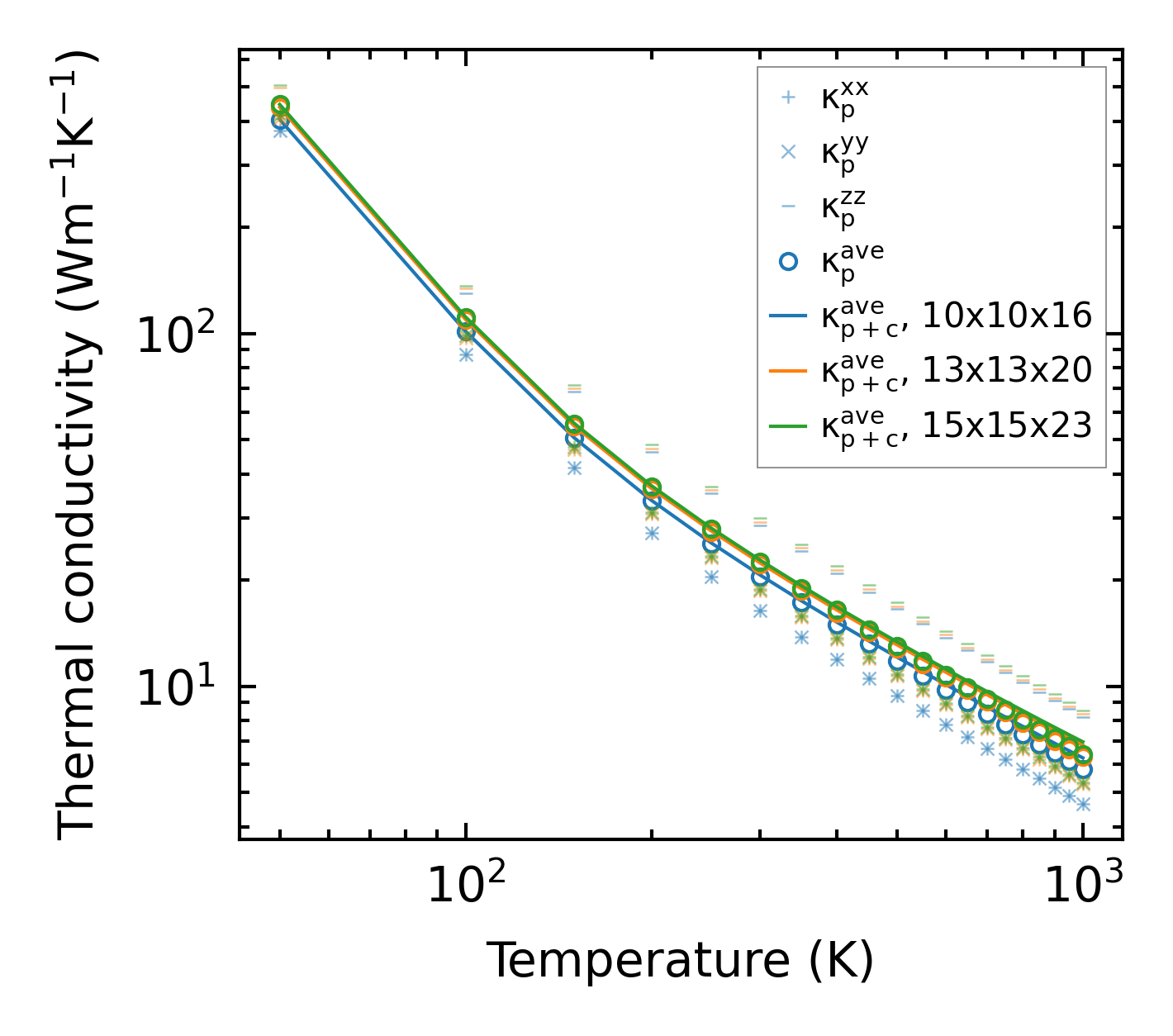
Summary

../../_images/fig_kappa168.png

(a) Temperature-dependent lattice thermal conductivity

../../_images/fig_times260.png

(b) Computation time