mp-1265/MgO/anharm

Harmonic properties

../../_images/fig_bandos_pr151.png

(a) Phonon dispersion with participation ratio and DOS

../../_images/fig_thermo151.png

(b) Thermodynamic properties

Grüneisen parameters

../../_images/fig_gru_all88.png

(a) Grüneisen parameters

../../_images/fig_gruneisen88.png

(b) Phonon dispersion with Grüneisen parameters

Thermal conductivity

3-phonon (LASSO) — q-mesh: 27x27x27, supercell: 2x2x2

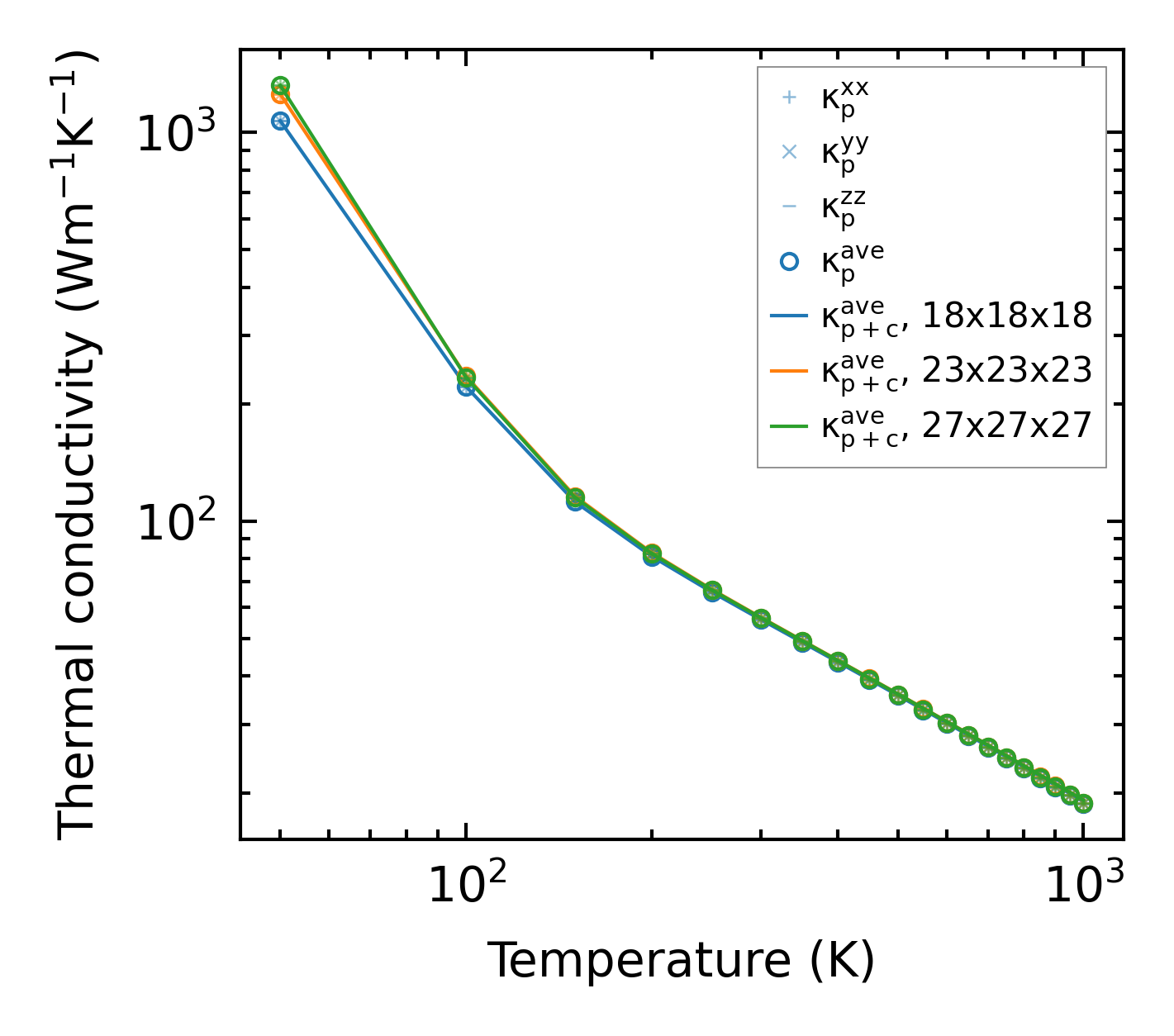
../../_images/fig_kappa171.png

(a) Temperature-dependent lattice thermal conductivity

../../_images/fig_kappa_vs_grain_size90.png

(b) Peierls lattice thermal conductivity w.r.t grain size

Phonon lifetime and scattering rates

../../_images/fig_lifetime88.png

(a) Phonon lifetime due to phonon-phonon scattering

../../_images/fig_scat_rates88.png

(b) Phonon scattering rates

Cumulative and spectral thermal conductivity

../../_images/fig_cumu_frequency88.png

(a) Spectral and cumulative thermal conductivity w.r.t frequency

../../_images/fig_cumu_mfp88.png

(b) Spectral and cumulative thermal conductivity w.r.t MFP

Force constants

../../_images/fig_fc2148.png

(a) Force constants w.r.t atomic distance

Summary

../../_images/fig_kappa172.png

(a) Temperature-dependent lattice thermal conductivity

../../_images/fig_times262.png

(b) Computation time