mp-1767/Tm2O3/anharm

Harmonic properties

../../_images/fig_bandos_pr214.png

(a) Phonon dispersion with participation ratio and DOS

../../_images/fig_thermo214.png

(b) Thermodynamic properties

Grüneisen parameters

../../_images/fig_gru_all139.png

(a) Grüneisen parameters

../../_images/fig_gruneisen139.png

(b) Phonon dispersion with Grüneisen parameters

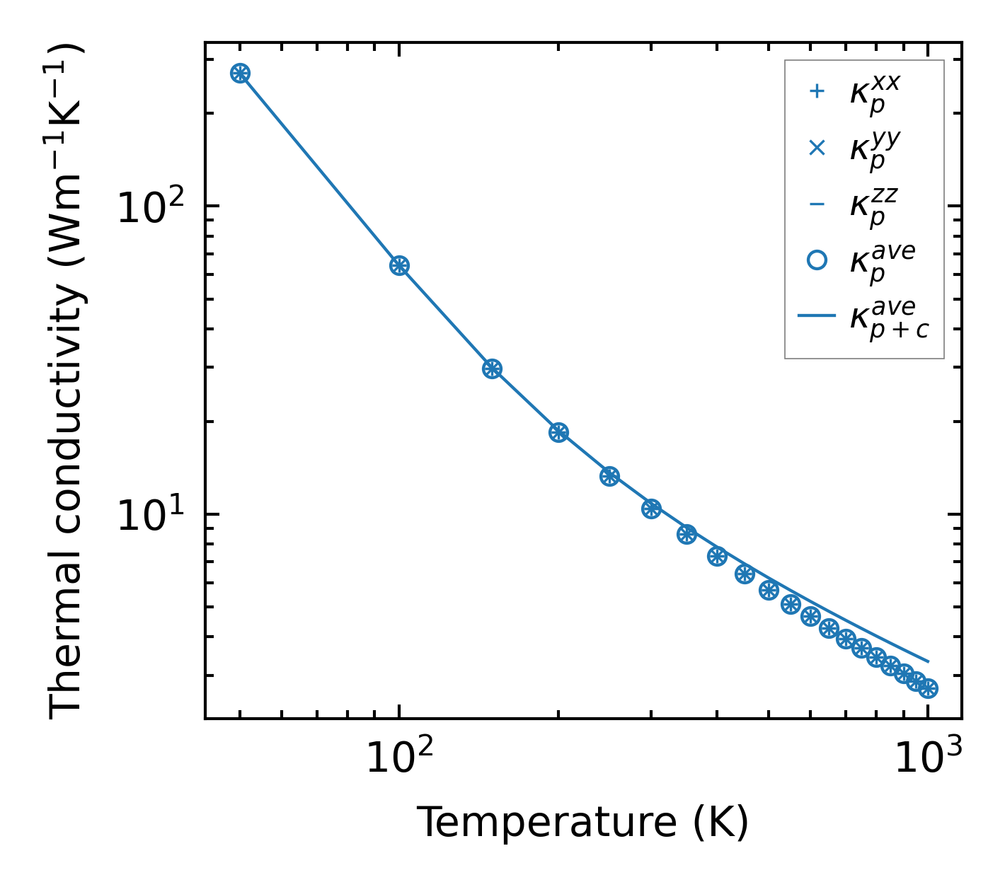
Thermal conductivity

3-phonon (LASSO) — q-mesh: 8x8x8, supercell: 1x1x1

../../_images/fig_kappa270.png

(a) Temperature-dependent lattice thermal conductivity

../../_images/fig_kappa_vs_grain_size140.png

(b) Peierls lattice thermal conductivity w.r.t grain size

Phonon lifetime and scattering rates

../../_images/fig_lifetime138.png

(a) Phonon lifetime due to phonon-phonon scattering

../../_images/fig_scat_rates137.png

(b) Phonon scattering rates

Cumulative and spectral thermal conductivity

../../_images/fig_cumu_frequency138.png

(a) Spectral and cumulative thermal conductivity w.r.t frequency

../../_images/fig_cumu_mfp138.png

(b) Spectral and cumulative thermal conductivity w.r.t MFP

Force constants

../../_images/fig_fc2197.png

(a) Force constants w.r.t atomic distance

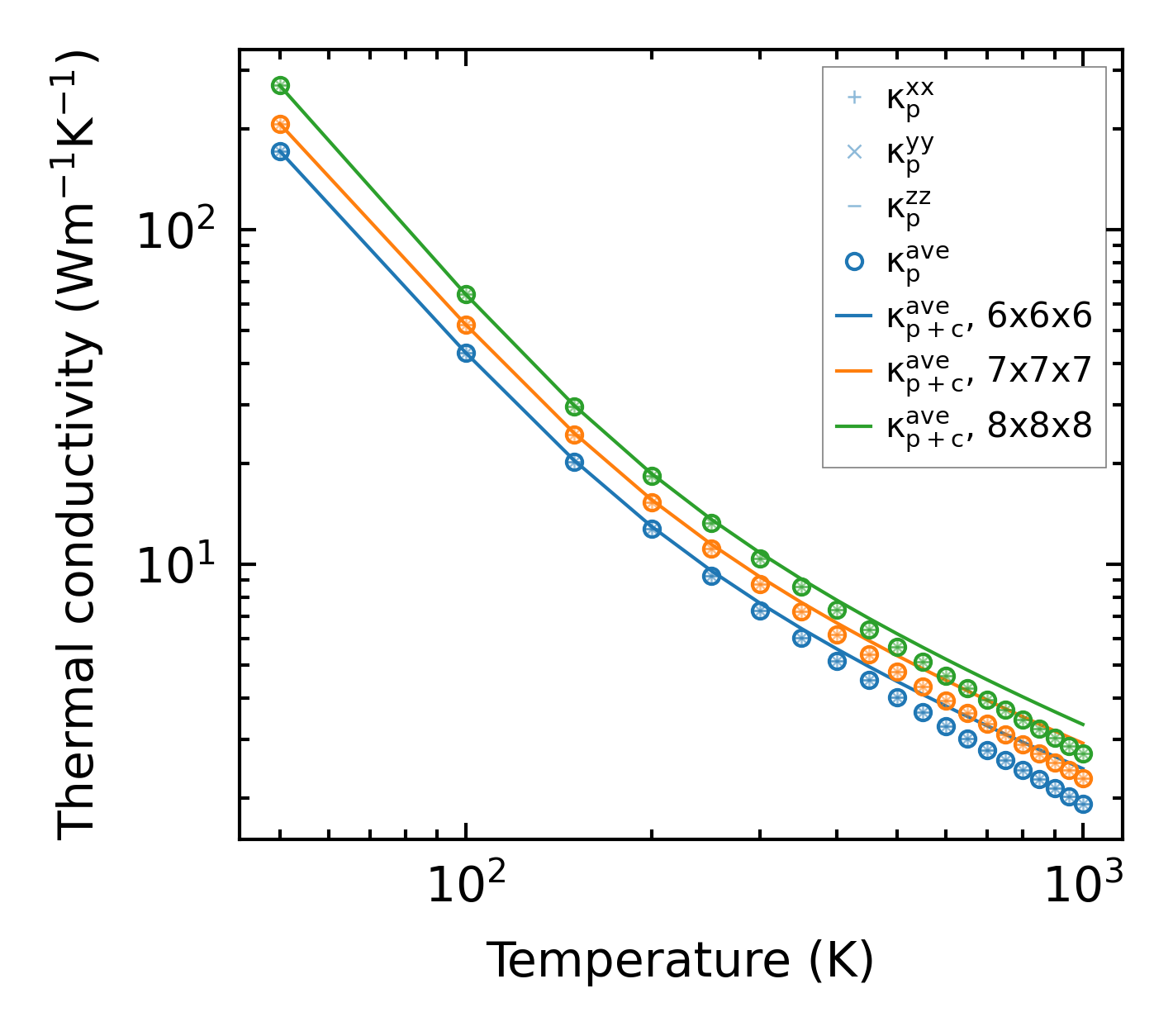
Summary

../../_images/fig_kappa271.png

(a) Temperature-dependent lattice thermal conductivity

../../_images/fig_times356.png

(b) Computation time