mp-1858/HfO2/anharm

Harmonic properties

../../_images/fig_bandos_pr231.png

(a) Phonon dispersion with participation ratio and DOS

../../_images/fig_thermo231.png

(b) Thermodynamic properties

Grüneisen parameters

../../_images/fig_gru_all151.png

(a) Grüneisen parameters

../../_images/fig_gruneisen151.png

(b) Phonon dispersion with Grüneisen parameters

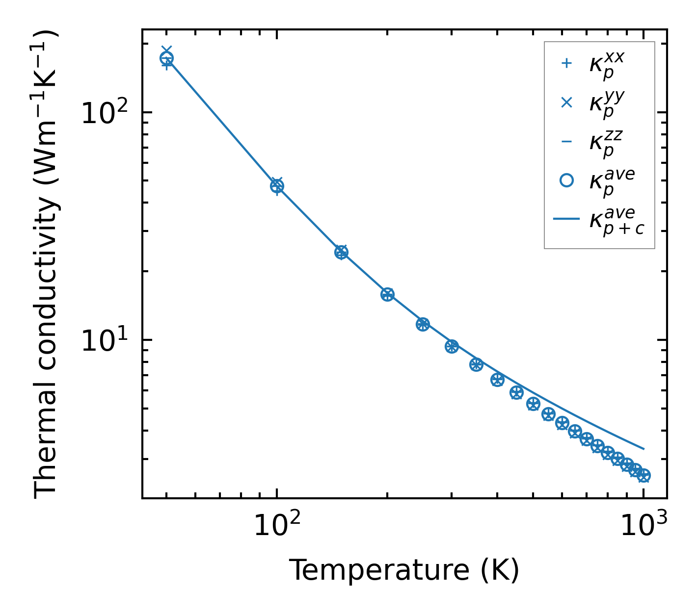
Thermal conductivity

3-phonon (LASSO) — q-mesh: 14x7x13, supercell: 2x1x2

../../_images/fig_kappa293.png

(a) Temperature-dependent lattice thermal conductivity

../../_images/fig_kappa_vs_grain_size152.png

(b) Peierls lattice thermal conductivity w.r.t grain size

Phonon lifetime and scattering rates

../../_images/fig_lifetime150.png

(a) Phonon lifetime due to phonon-phonon scattering

../../_images/fig_scat_rates149.png

(b) Phonon scattering rates

Cumulative and spectral thermal conductivity

../../_images/fig_cumu_frequency150.png

(a) Spectral and cumulative thermal conductivity w.r.t frequency

../../_images/fig_cumu_mfp150.png

(b) Spectral and cumulative thermal conductivity w.r.t MFP

Force constants

../../_images/fig_fc2208.png

(a) Force constants w.r.t atomic distance

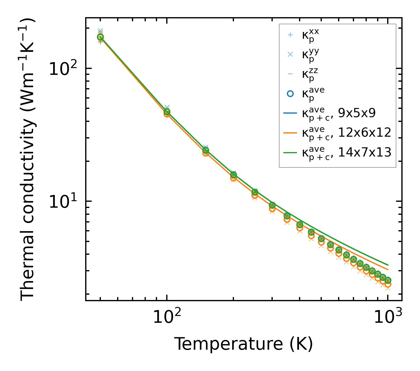
Summary

../../_images/fig_kappa294.png

(a) Temperature-dependent lattice thermal conductivity

../../_images/fig_times377.png

(b) Computation time