mp-1285/PtO2/anharm

Harmonic properties

../../_images/fig_bandos_pr155.png

(a) Phonon dispersion with participation ratio and DOS

../../_images/fig_thermo155.png

(b) Thermodynamic properties

Grüneisen parameters

../../_images/fig_gru_all92.png

(a) Grüneisen parameters

../../_images/fig_gruneisen92.png

(b) Phonon dispersion with Grüneisen parameters

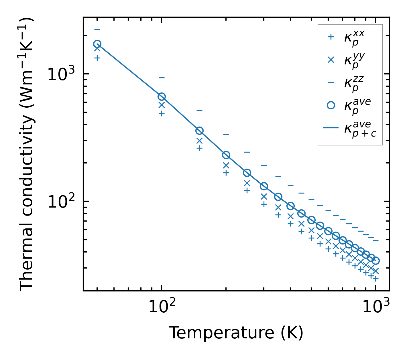
Thermal conductivity

3-phonon (LASSO) — q-mesh: 16x15x22, supercell: 3x2x3

../../_images/fig_kappa179.png

(a) Temperature-dependent lattice thermal conductivity

../../_images/fig_kappa_vs_grain_size94.png

(b) Peierls lattice thermal conductivity w.r.t grain size

Phonon lifetime and scattering rates

../../_images/fig_lifetime92.png

(a) Phonon lifetime due to phonon-phonon scattering

../../_images/fig_scat_rates92.png

(b) Phonon scattering rates

Cumulative and spectral thermal conductivity

../../_images/fig_cumu_frequency92.png

(a) Spectral and cumulative thermal conductivity w.r.t frequency

../../_images/fig_cumu_mfp92.png

(b) Spectral and cumulative thermal conductivity w.r.t MFP

Force constants

../../_images/fig_fc2151.png

(a) Force constants w.r.t atomic distance

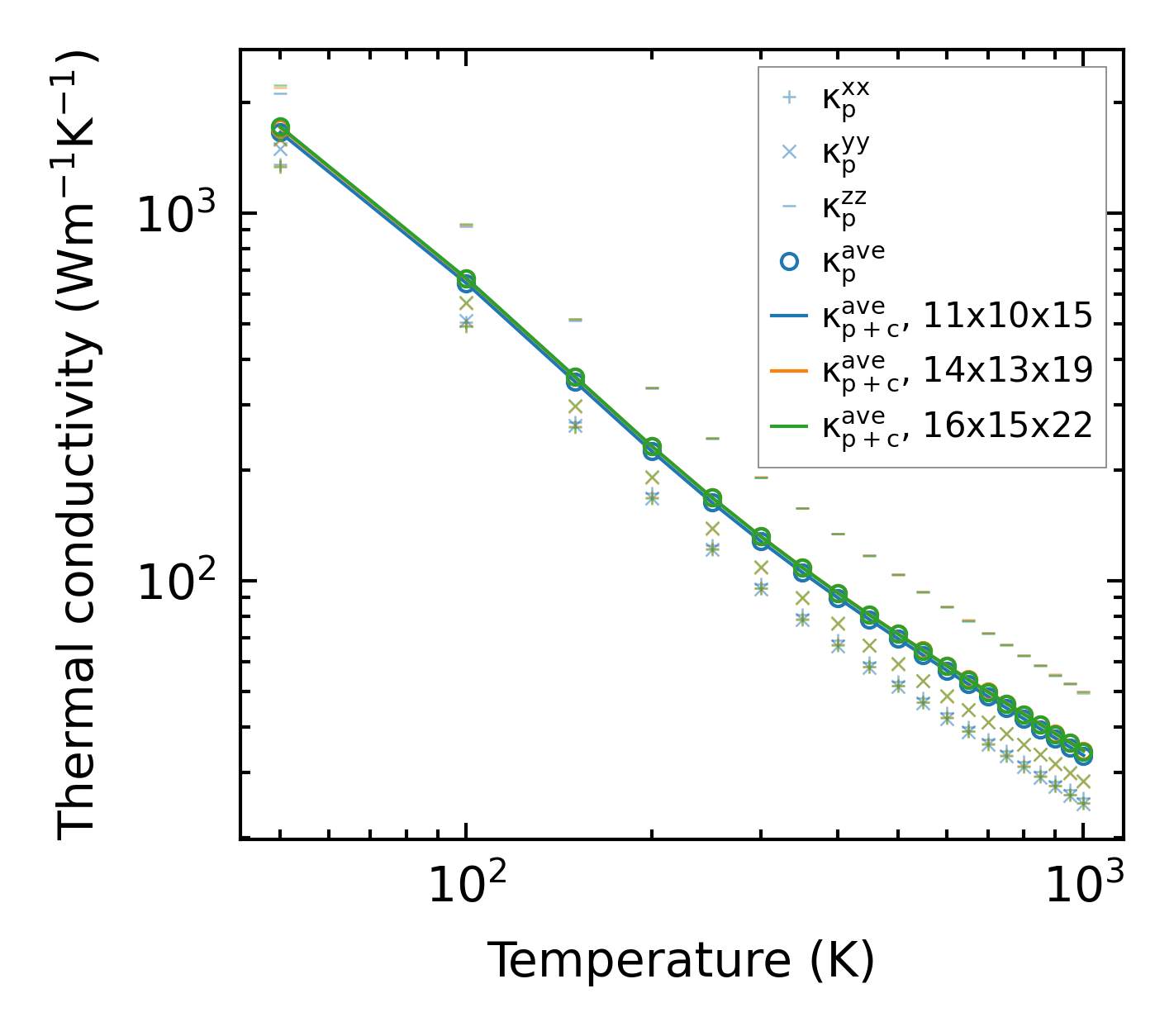
Summary

../../_images/fig_kappa180.png

(a) Temperature-dependent lattice thermal conductivity

../../_images/fig_times266.png

(b) Computation time