mp-1138/LiF/anharm

Harmonic properties

../../_images/fig_bandos_pr715.png

(a) Phonon dispersion with participation ratio and DOS

../../_images/fig_thermo715.png

(b) Thermodynamic properties

Grüneisen parameters

../../_images/fig_gru_all477.png

(a) Grüneisen parameters

../../_images/fig_gruneisen477.png

(b) Phonon dispersion with Grüneisen parameters

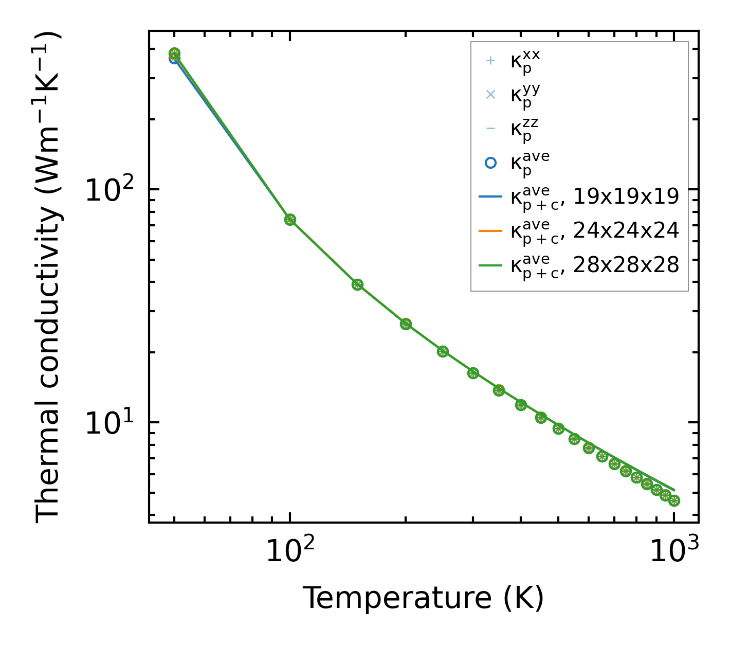
Thermal conductivity

3-phonon — q-mesh: 28x28x28, supercell: 2x2x2

../../_images/fig_kappa927.png

(a) Temperature-dependent lattice thermal conductivity

../../_images/fig_kappa_vs_grain_size484.png

(b) Peierls lattice thermal conductivity w.r.t grain size

Phonon lifetime and scattering rates

../../_images/fig_lifetime475.png

(a) Phonon lifetime due to phonon-phonon scattering

../../_images/fig_scat_rates474.png

(b) Phonon scattering rates

Cumulative and spectral thermal conductivity

../../_images/fig_cumu_frequency475.png

(a) Spectral and cumulative thermal conductivity w.r.t frequency

../../_images/fig_cumu_mfp475.png

(b) Spectral and cumulative thermal conductivity w.r.t MFP

Force constants

../../_images/fig_fc392.png

(a) Force constants w.r.t atomic distance

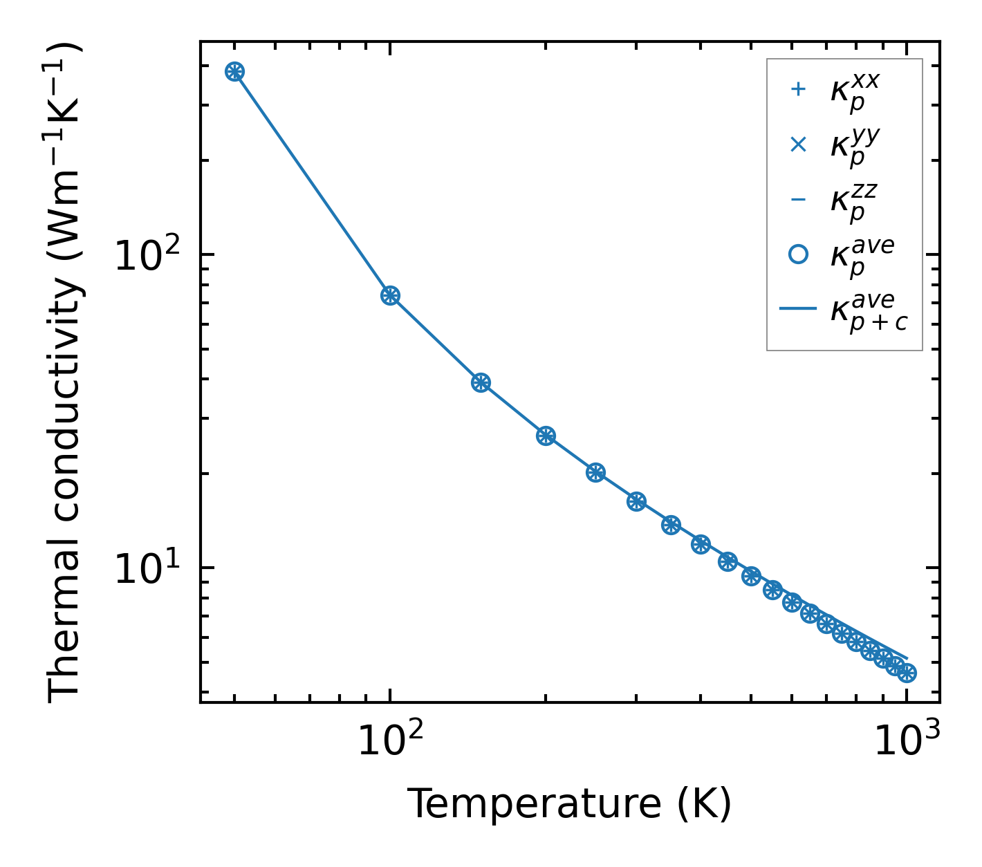
Summary

../../_images/fig_kappa928.png

(a) Temperature-dependent lattice thermal conductivity

../../_images/fig_times1020.png

(b) Computation time