mp-1536/KSb/anharm

Equation of state

../../_images/fig_bm30.png

(a) Equation of state

Harmonic properties

../../_images/fig_bandos_pr188.png

(a) Phonon dispersion with participation ratio and DOS

../../_images/fig_thermo188.png

(b) Thermodynamic properties

Grüneisen parameters

../../_images/fig_gru_all122.png

(a) Grüneisen parameters

../../_images/fig_gruneisen122.png

(b) Phonon dispersion with Grüneisen parameters

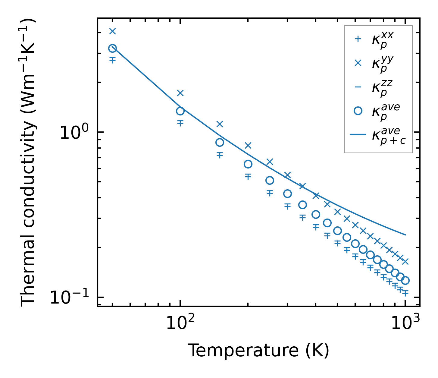
Thermal conductivity

3-phonon (LASSO) — q-mesh: 10x10x5, supercell: 2x2x2

../../_images/fig_kappa239.png

(a) Temperature-dependent lattice thermal conductivity

../../_images/fig_kappa_vs_grain_size124.png

(b) Peierls lattice thermal conductivity w.r.t grain size

Phonon lifetime and scattering rates

../../_images/fig_lifetime122.png

(a) Phonon lifetime due to phonon-phonon scattering

../../_images/fig_scat_rates121.png

(b) Phonon scattering rates

Cumulative and spectral thermal conductivity

../../_images/fig_cumu_frequency122.png

(a) Spectral and cumulative thermal conductivity w.r.t frequency

../../_images/fig_cumu_mfp122.png

(b) Spectral and cumulative thermal conductivity w.r.t MFP

Force constants

../../_images/fig_fc2176.png

(a) Force constants w.r.t atomic distance

Summary

../../_images/fig_kappa240.png

(a) Temperature-dependent lattice thermal conductivity

../../_images/fig_times308.png

(b) Computation time