mp-1323/AlF3/anharm

Equation of state

../../_images/fig_bm20.png

(a) Equation of state

Harmonic properties

../../_images/fig_bandos_pr160.png

(a) Phonon dispersion with participation ratio and DOS

../../_images/fig_thermo160.png

(b) Thermodynamic properties

Grüneisen parameters

../../_images/fig_gru_all97.png

(a) Grüneisen parameters

../../_images/fig_gruneisen97.png

(b) Phonon dispersion with Grüneisen parameters

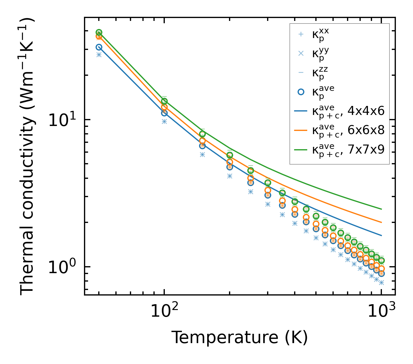
Thermal conductivity

3-phonon (LASSO) — q-mesh: 7x7x9, supercell: 1x1x2

../../_images/fig_kappa189.png

(a) Temperature-dependent lattice thermal conductivity

../../_images/fig_kappa_vs_grain_size99.png

(b) Peierls lattice thermal conductivity w.r.t grain size

Phonon lifetime and scattering rates

../../_images/fig_lifetime97.png

(a) Phonon lifetime due to phonon-phonon scattering

../../_images/fig_scat_rates97.png

(b) Phonon scattering rates

Cumulative and spectral thermal conductivity

../../_images/fig_cumu_frequency97.png

(a) Spectral and cumulative thermal conductivity w.r.t frequency

../../_images/fig_cumu_mfp97.png

(b) Spectral and cumulative thermal conductivity w.r.t MFP

Force constants

../../_images/fig_fc2155.png

(a) Force constants w.r.t atomic distance

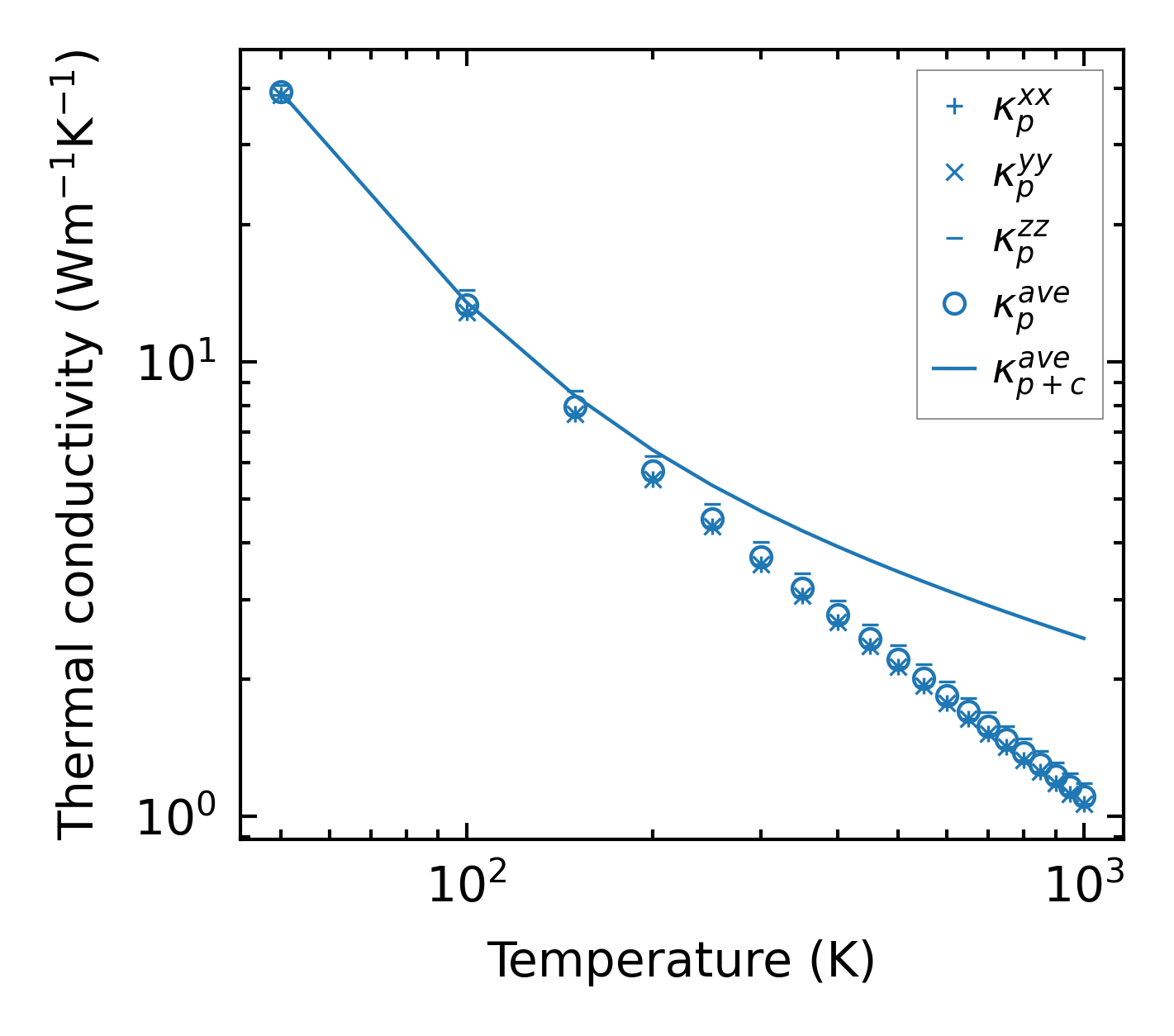
Summary

../../_images/fig_kappa190.png

(a) Temperature-dependent lattice thermal conductivity

../../_images/fig_times271.png

(b) Computation time