mp-1315/MgS/anharm

Harmonic properties

../../_images/fig_bandos_pr158.png

(a) Phonon dispersion with participation ratio and DOS

../../_images/fig_thermo158.png

(b) Thermodynamic properties

Grüneisen parameters

../../_images/fig_gru_all95.png

(a) Grüneisen parameters

../../_images/fig_gruneisen95.png

(b) Phonon dispersion with Grüneisen parameters

Thermal conductivity

3-phonon — q-mesh: 22x22x22, supercell: 2x2x2

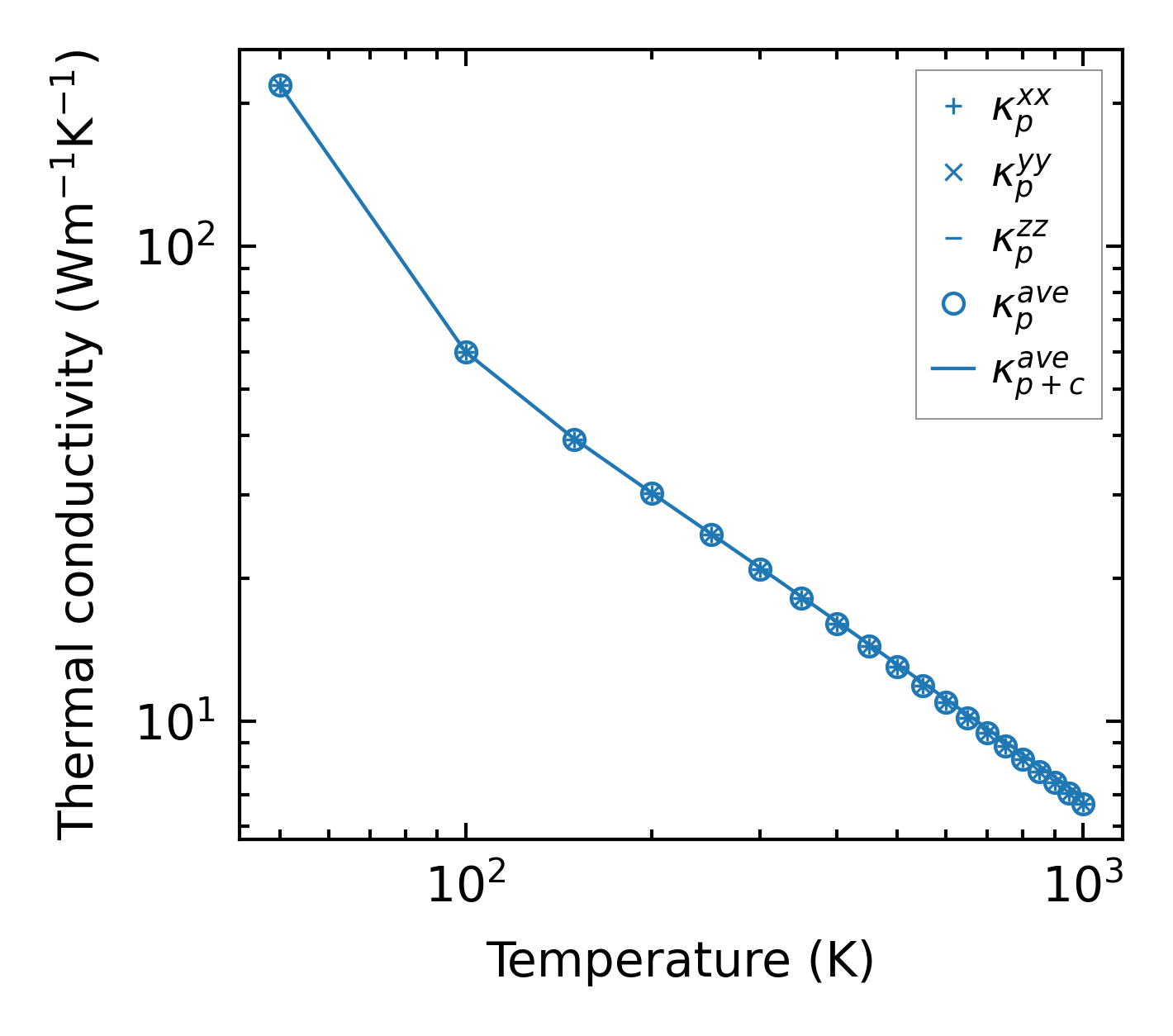
../../_images/fig_kappa185.png

(a) Temperature-dependent lattice thermal conductivity

../../_images/fig_kappa_vs_grain_size97.png

(b) Peierls lattice thermal conductivity w.r.t grain size

Phonon lifetime and scattering rates

../../_images/fig_lifetime95.png

(a) Phonon lifetime due to phonon-phonon scattering

../../_images/fig_scat_rates95.png

(b) Phonon scattering rates

Cumulative and spectral thermal conductivity

../../_images/fig_cumu_frequency95.png

(a) Spectral and cumulative thermal conductivity w.r.t frequency

../../_images/fig_cumu_mfp95.png

(b) Spectral and cumulative thermal conductivity w.r.t MFP

Force constants

../../_images/fig_fc34.png

(a) Force constants w.r.t atomic distance

Summary

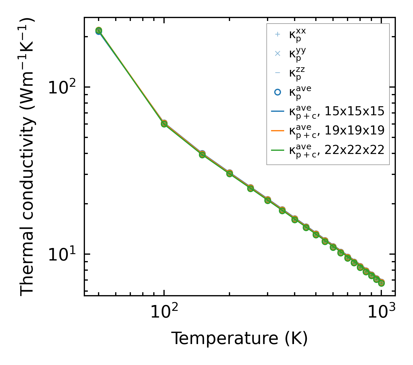
../../_images/fig_kappa186.png

(a) Temperature-dependent lattice thermal conductivity

../../_images/fig_times269.png

(b) Computation time