mp-1190/ZnSe/anharm

Harmonic properties

../../_images/fig_bandos_pr726.png

(a) Phonon dispersion with participation ratio and DOS

../../_images/fig_thermo726.png

(b) Thermodynamic properties

Grüneisen parameters

../../_images/fig_gru_all484.png

(a) Grüneisen parameters

../../_images/fig_gruneisen484.png

(b) Phonon dispersion with Grüneisen parameters

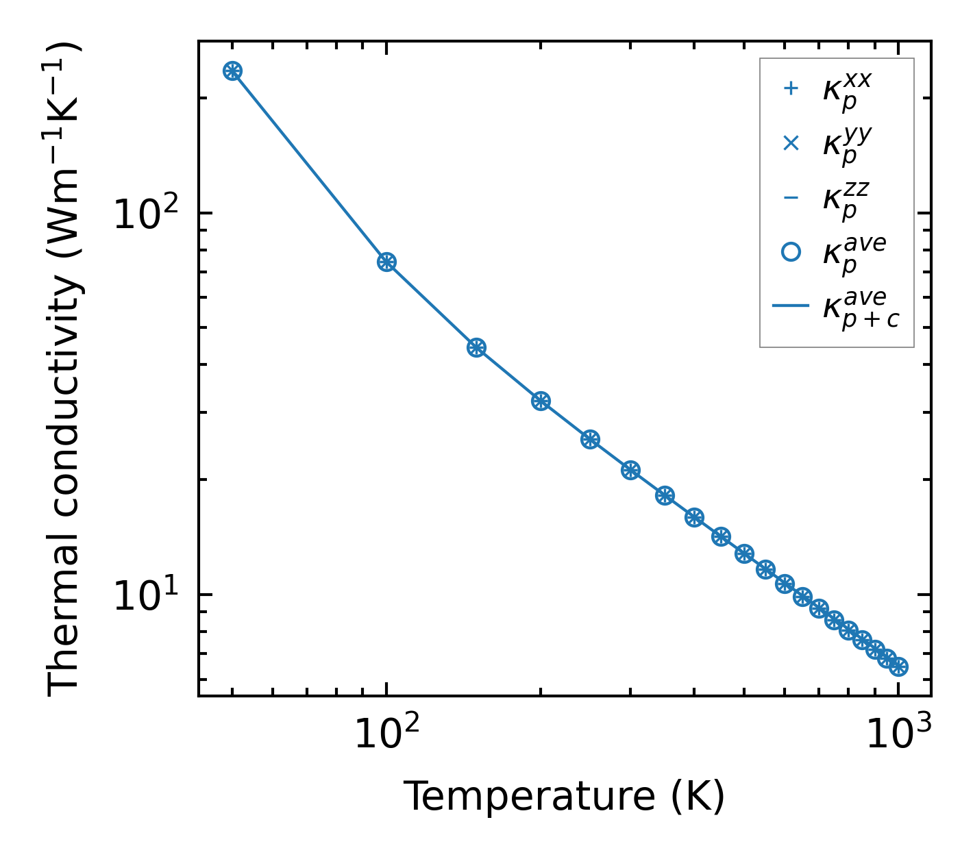
Thermal conductivity

3-phonon — q-mesh: 20x20x20, supercell: 2x2x2

../../_images/fig_kappa941.png

(a) Temperature-dependent lattice thermal conductivity

../../_images/fig_kappa_vs_grain_size491.png

(b) Peierls lattice thermal conductivity w.r.t grain size

Phonon lifetime and scattering rates

../../_images/fig_lifetime482.png

(a) Phonon lifetime due to phonon-phonon scattering

../../_images/fig_scat_rates481.png

(b) Phonon scattering rates

Cumulative and spectral thermal conductivity

../../_images/fig_cumu_frequency482.png

(a) Spectral and cumulative thermal conductivity w.r.t frequency

../../_images/fig_cumu_mfp482.png

(b) Spectral and cumulative thermal conductivity w.r.t MFP

Force constants

../../_images/fig_fc394.png

(a) Force constants w.r.t atomic distance

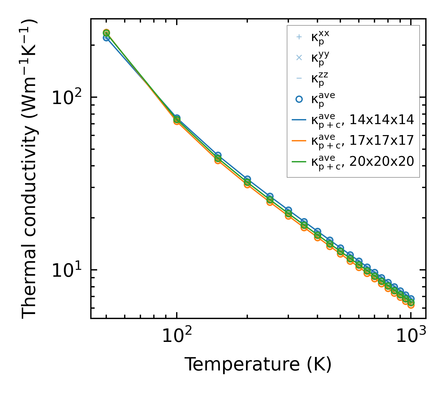
Summary

../../_images/fig_kappa942.png

(a) Temperature-dependent lattice thermal conductivity

../../_images/fig_times1033.png

(b) Computation time