mp-1938/Al2O3/anharm

Harmonic properties

../../_images/fig_bandos_pr240.png

(a) Phonon dispersion with participation ratio and DOS

../../_images/fig_thermo240.png

(b) Thermodynamic properties

Grüneisen parameters

../../_images/fig_gru_all158.png

(a) Grüneisen parameters

../../_images/fig_gruneisen158.png

(b) Phonon dispersion with Grüneisen parameters

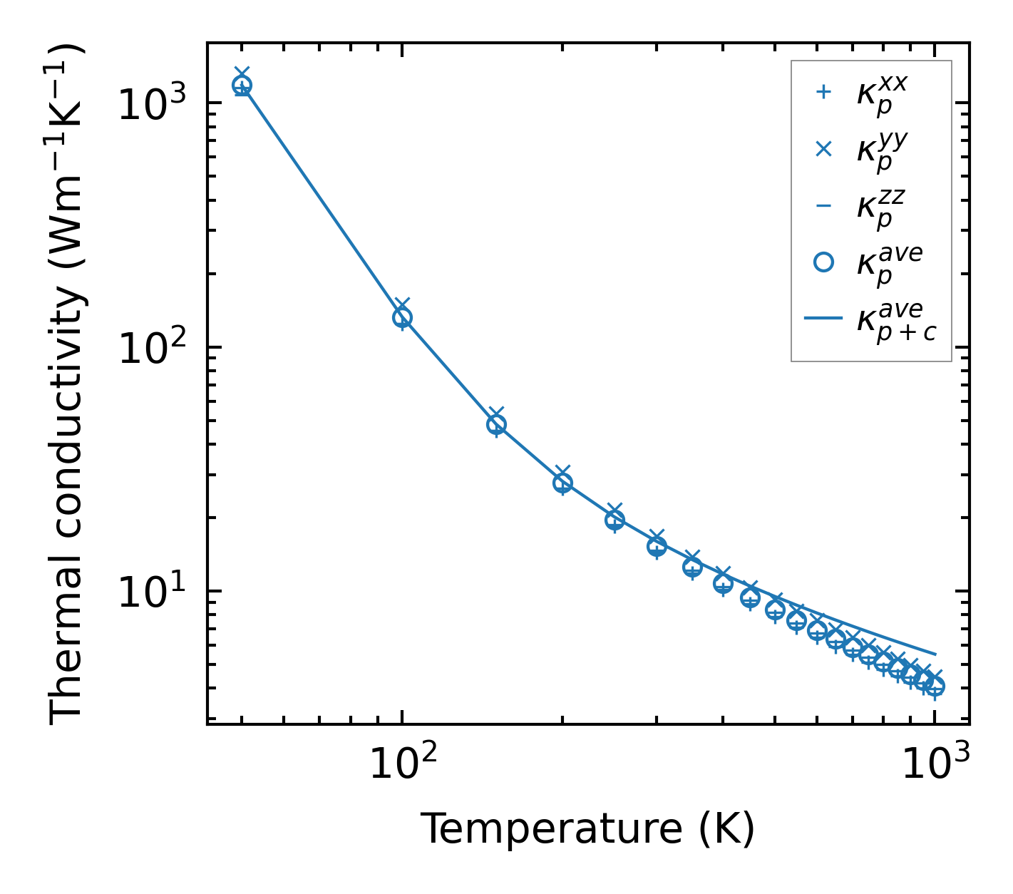
Thermal conductivity

3-phonon (LASSO) — q-mesh: 10x14x14, supercell: 1x2x2

../../_images/fig_kappa306.png

(a) Temperature-dependent lattice thermal conductivity

../../_images/fig_kappa_vs_grain_size159.png

(b) Peierls lattice thermal conductivity w.r.t grain size

Phonon lifetime and scattering rates

../../_images/fig_lifetime157.png

(a) Phonon lifetime due to phonon-phonon scattering

../../_images/fig_scat_rates156.png

(b) Phonon scattering rates

Cumulative and spectral thermal conductivity

../../_images/fig_cumu_frequency157.png

(a) Spectral and cumulative thermal conductivity w.r.t frequency

../../_images/fig_cumu_mfp157.png

(b) Spectral and cumulative thermal conductivity w.r.t MFP

Force constants

../../_images/fig_fc2215.png

(a) Force constants w.r.t atomic distance

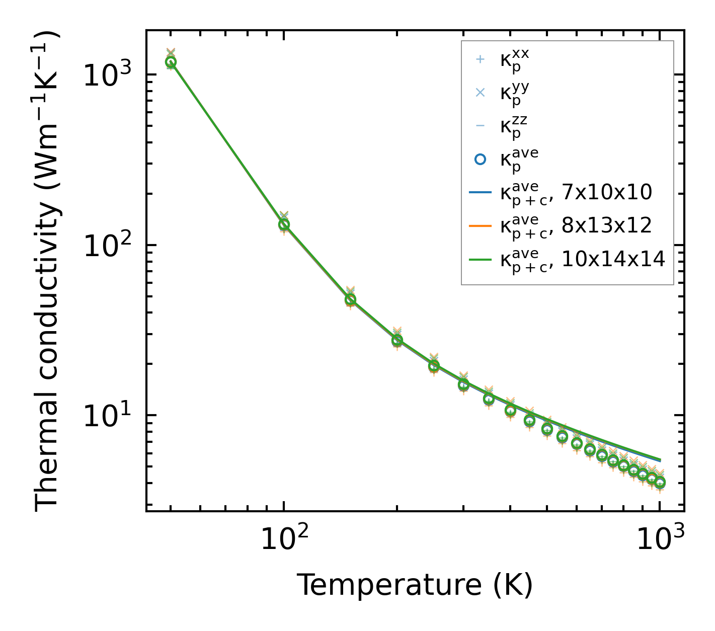
Summary

../../_images/fig_kappa307.png

(a) Temperature-dependent lattice thermal conductivity

../../_images/fig_times389.png

(b) Computation time