mp-1273/CsGe/anharm

Harmonic properties

../../_images/fig_bandos_pr154.png

(a) Phonon dispersion with participation ratio and DOS

../../_images/fig_bandos185.png

(b) Phonon dispersion and DOS

../../_images/fig_thermo154.png

(c) Thermodynamic properties

Grüneisen parameters

../../_images/fig_gru_all91.png

(a) Grüneisen parameters

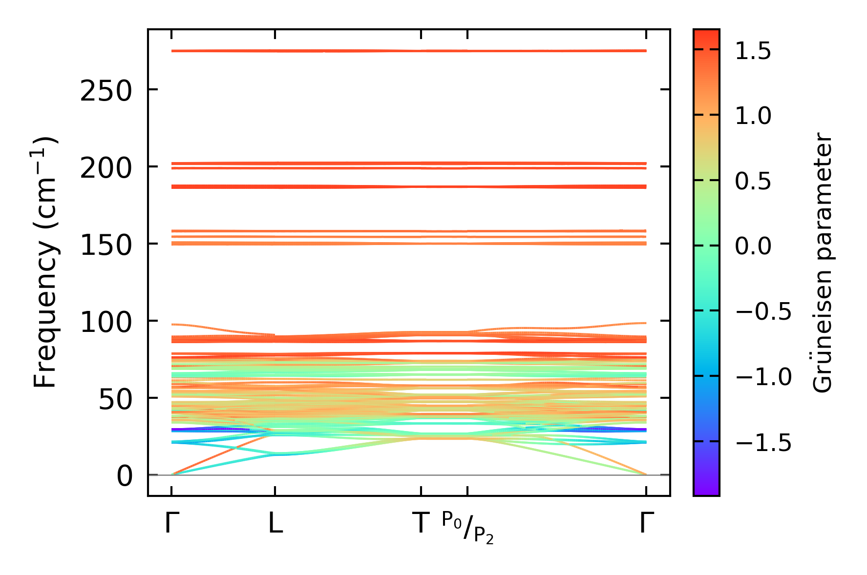
../../_images/fig_gruneisen91.png

(b) Phonon dispersion with Grüneisen parameters

Thermal conductivity

3-phonon (LASSO) — q-mesh: 5x5x5, supercell: 1x1x1

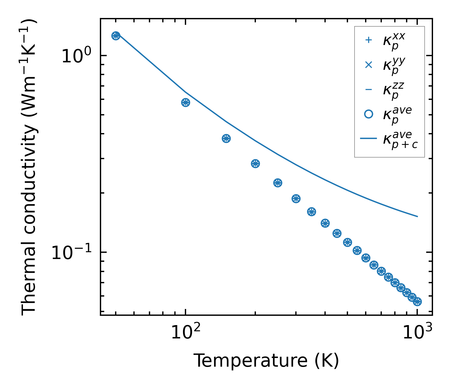
../../_images/fig_kappa177.png

(a) Temperature-dependent lattice thermal conductivity

../../_images/fig_kappa_vs_grain_size93.png

(b) Peierls lattice thermal conductivity w.r.t grain size

Phonon lifetime and scattering rates

../../_images/fig_lifetime91.png

(a) Phonon lifetime due to phonon-phonon scattering

../../_images/fig_scat_rates91.png

(b) Phonon scattering rates

Cumulative and spectral thermal conductivity

../../_images/fig_cumu_frequency91.png

(a) Spectral and cumulative thermal conductivity w.r.t frequency

../../_images/fig_cumu_mfp91.png

(b) Spectral and cumulative thermal conductivity w.r.t MFP

Force constants

../../_images/fig_fc2150.png

(a) Force constants w.r.t atomic distance

Summary

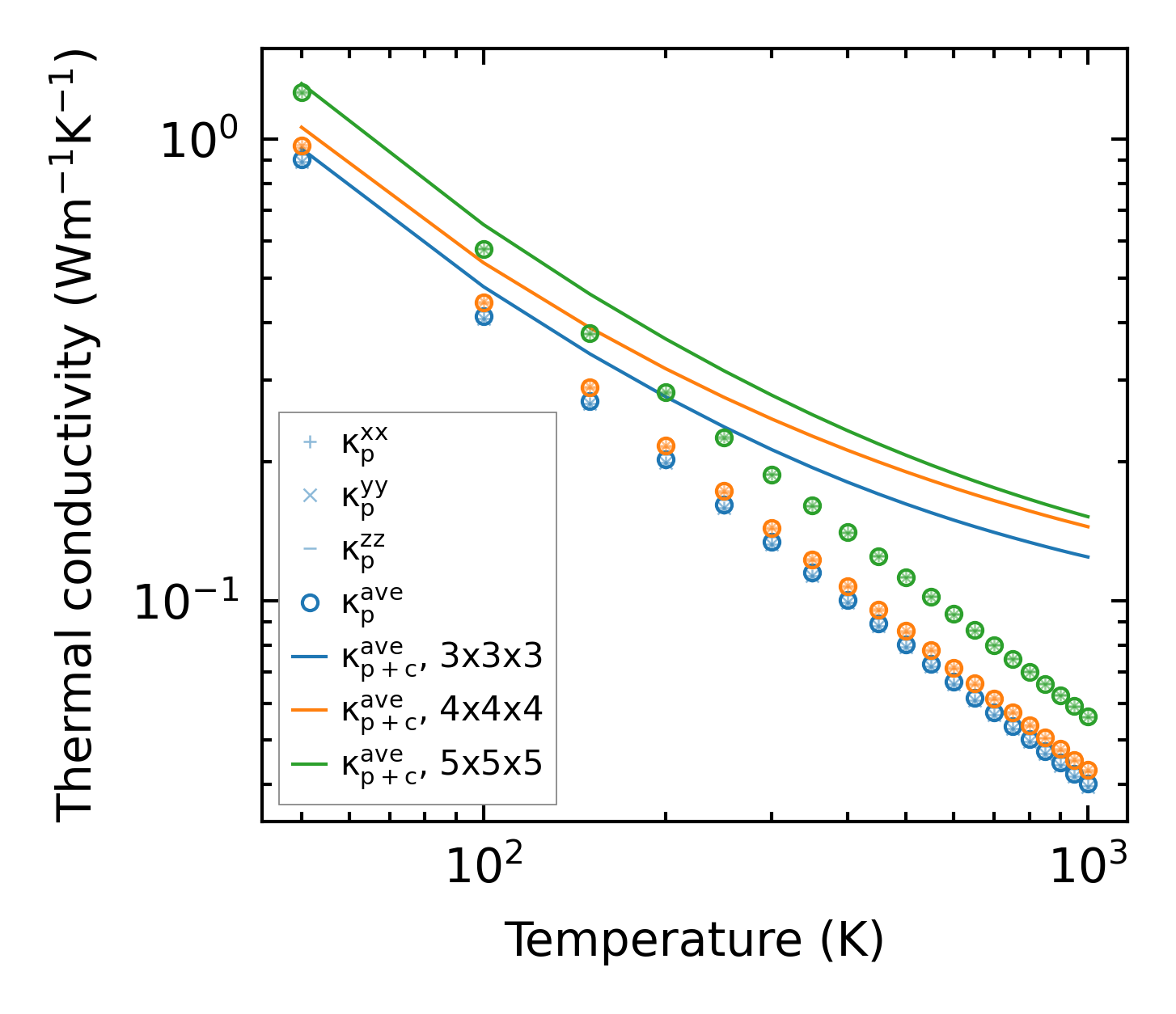
../../_images/fig_kappa178.png

(a) Temperature-dependent lattice thermal conductivity

../../_images/fig_times265.png

(b) Computation time