mp-1029/BaF2/anharm

Harmonic properties

../../_images/fig_bandos_pr700.png

(a) Phonon dispersion with participation ratio and DOS

../../_images/fig_thermo700.png

(b) Thermodynamic properties

Grüneisen parameters

../../_images/fig_gru_all465.png

(a) Grüneisen parameters

../../_images/fig_gruneisen465.png

(b) Phonon dispersion with Grüneisen parameters

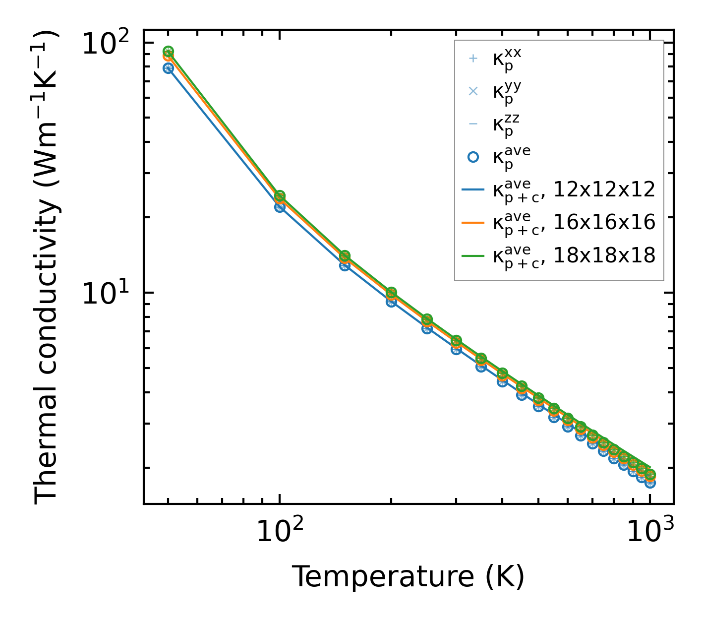
Thermal conductivity

3-phonon — q-mesh: 18x18x18, supercell: 2x2x2

../../_images/fig_kappa903.png

(a) Temperature-dependent lattice thermal conductivity

../../_images/fig_kappa_vs_grain_size472.png

(b) Peierls lattice thermal conductivity w.r.t grain size

Phonon lifetime and scattering rates

../../_images/fig_lifetime463.png

(a) Phonon lifetime due to phonon-phonon scattering

../../_images/fig_scat_rates462.png

(b) Phonon scattering rates

Cumulative and spectral thermal conductivity

../../_images/fig_cumu_frequency463.png

(a) Spectral and cumulative thermal conductivity w.r.t frequency

../../_images/fig_cumu_mfp463.png

(b) Spectral and cumulative thermal conductivity w.r.t MFP

Force constants

../../_images/fig_fc390.png

(a) Force constants w.r.t atomic distance

Summary

../../_images/fig_kappa904.png

(a) Temperature-dependent lattice thermal conductivity

../../_images/fig_times1001.png

(b) Computation time