mp-1784/CsF/anharm

Harmonic properties

../../_images/fig_bandos_pr217.png

(a) Phonon dispersion with participation ratio and DOS

../../_images/fig_thermo217.png

(b) Thermodynamic properties

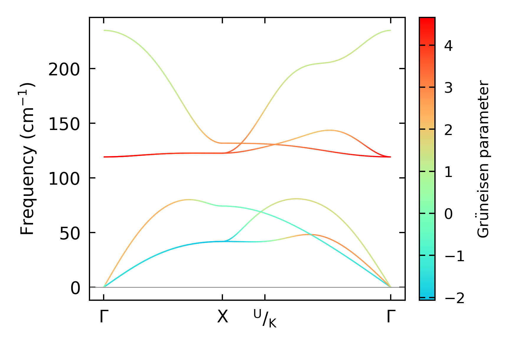
Grüneisen parameters

../../_images/fig_gru_all142.png

(a) Grüneisen parameters

../../_images/fig_gruneisen142.png

(b) Phonon dispersion with Grüneisen parameters

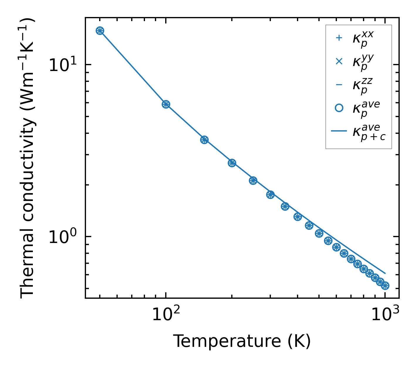
Thermal conductivity

3-phonon — q-mesh: 19x19x19, supercell: 2x2x2

../../_images/fig_kappa276.png

(a) Temperature-dependent lattice thermal conductivity

../../_images/fig_kappa_vs_grain_size143.png

(b) Peierls lattice thermal conductivity w.r.t grain size

Phonon lifetime and scattering rates

../../_images/fig_lifetime141.png

(a) Phonon lifetime due to phonon-phonon scattering

../../_images/fig_scat_rates140.png

(b) Phonon scattering rates

Cumulative and spectral thermal conductivity

../../_images/fig_cumu_frequency141.png

(a) Spectral and cumulative thermal conductivity w.r.t frequency

../../_images/fig_cumu_mfp141.png

(b) Spectral and cumulative thermal conductivity w.r.t MFP

Force constants

../../_images/fig_fc319.png

(a) Force constants w.r.t atomic distance

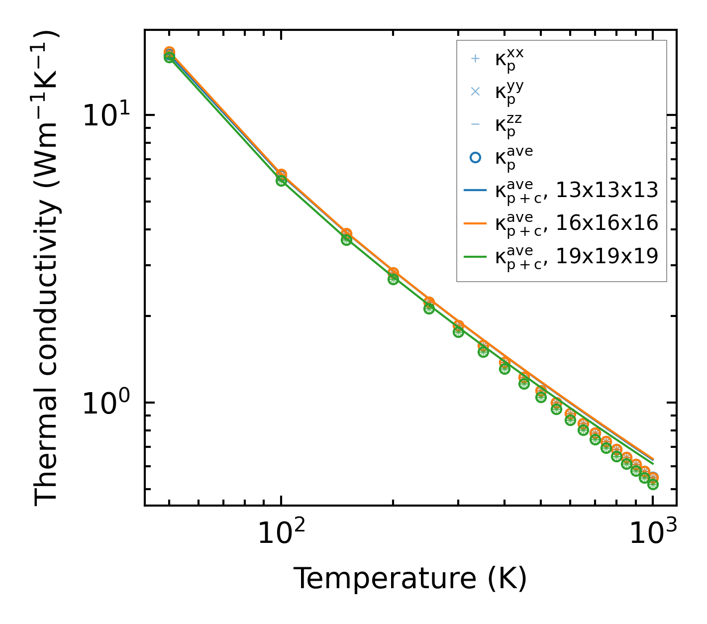
Summary

../../_images/fig_kappa277.png

(a) Temperature-dependent lattice thermal conductivity

../../_images/fig_times363.png

(b) Computation time