mp-13986-2/Li2PtF6/anharm

Equation of state

../../_images/fig_bm7538.png

(a) Equation of state

Harmonic properties

../../_images/fig_bandos_pr15028.png

(a) Phonon dispersion with participation ratio and DOS

../../_images/fig_thermo15027.png

(b) Thermodynamic properties

Grüneisen parameters

../../_images/fig_gru_all6459.png

(a) Grüneisen parameters

../../_images/fig_gruneisen6459.png

(b) Phonon dispersion with Grüneisen parameters

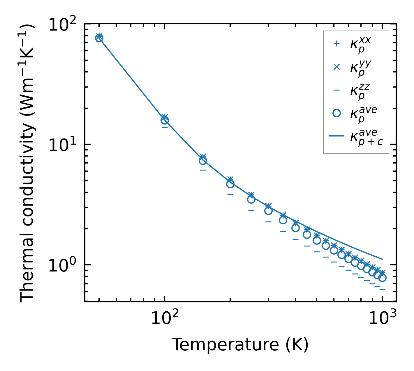
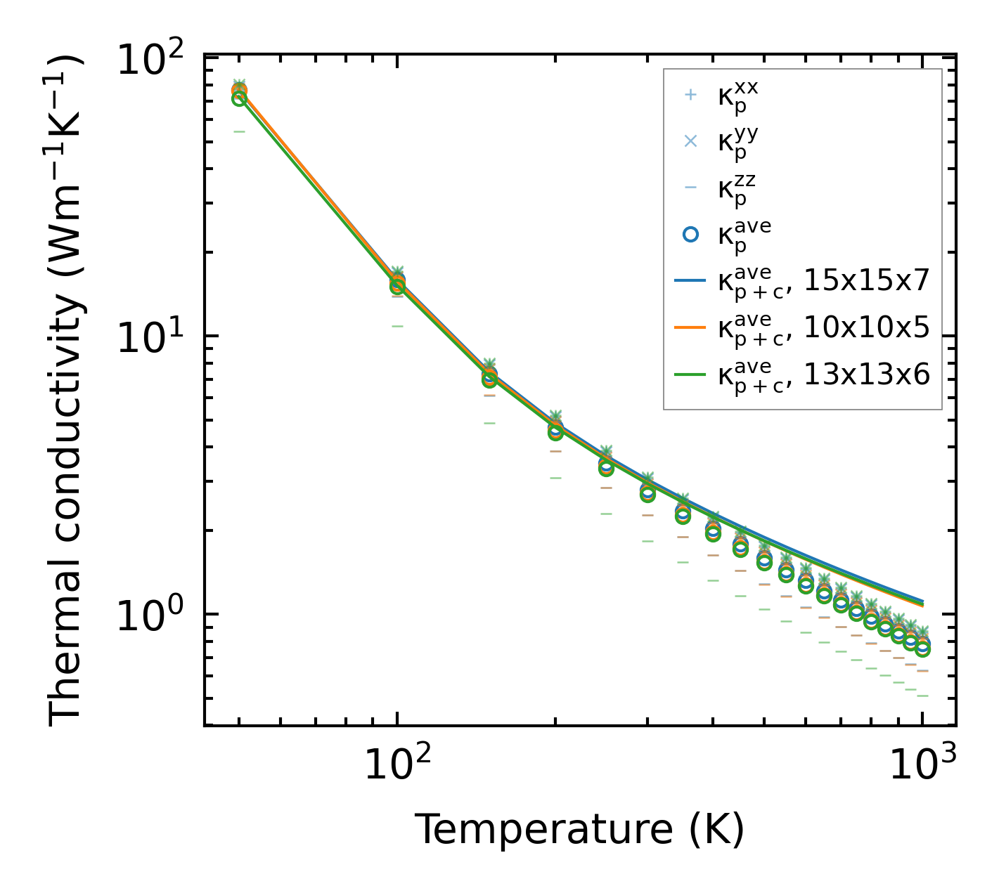
Thermal conductivity

3-phonon (LASSO) — q-mesh: 15x15x7, supercell: 2x2x2

../../_images/fig_kappa12148.png

(a) Temperature-dependent lattice thermal conductivity

../../_images/fig_kappa_vs_grain_size6536.png

(b) Peierls lattice thermal conductivity w.r.t grain size

Phonon lifetime and scattering rates

../../_images/fig_lifetime6393.png

(a) Phonon lifetime due to phonon-phonon scattering

../../_images/fig_scat_rates6392.png

(b) Phonon scattering rates

Cumulative and spectral thermal conductivity

../../_images/fig_cumu_frequency6393.png

(a) Spectral and cumulative thermal conductivity w.r.t frequency

../../_images/fig_cumu_mfp6392.png

(b) Spectral and cumulative thermal conductivity w.r.t MFP

Force constants

../../_images/fig_fc214645.png

(a) Force constants w.r.t atomic distance

Summary

../../_images/fig_kappa12149.png

(a) Temperature-dependent lattice thermal conductivity

../../_images/fig_times24869.png

(b) Computation time