mp-13676-2/TlPO4/anharm

Equation of state

../../_images/fig_bm7481.png

(a) Equation of state

Harmonic properties

../../_images/fig_bandos_pr14929.png

(a) Phonon dispersion with participation ratio and DOS

../../_images/fig_thermo14929.png

(b) Thermodynamic properties

Grüneisen parameters

../../_images/fig_gru_all6407.png

(a) Grüneisen parameters

../../_images/fig_gruneisen6407.png

(b) Phonon dispersion with Grüneisen parameters

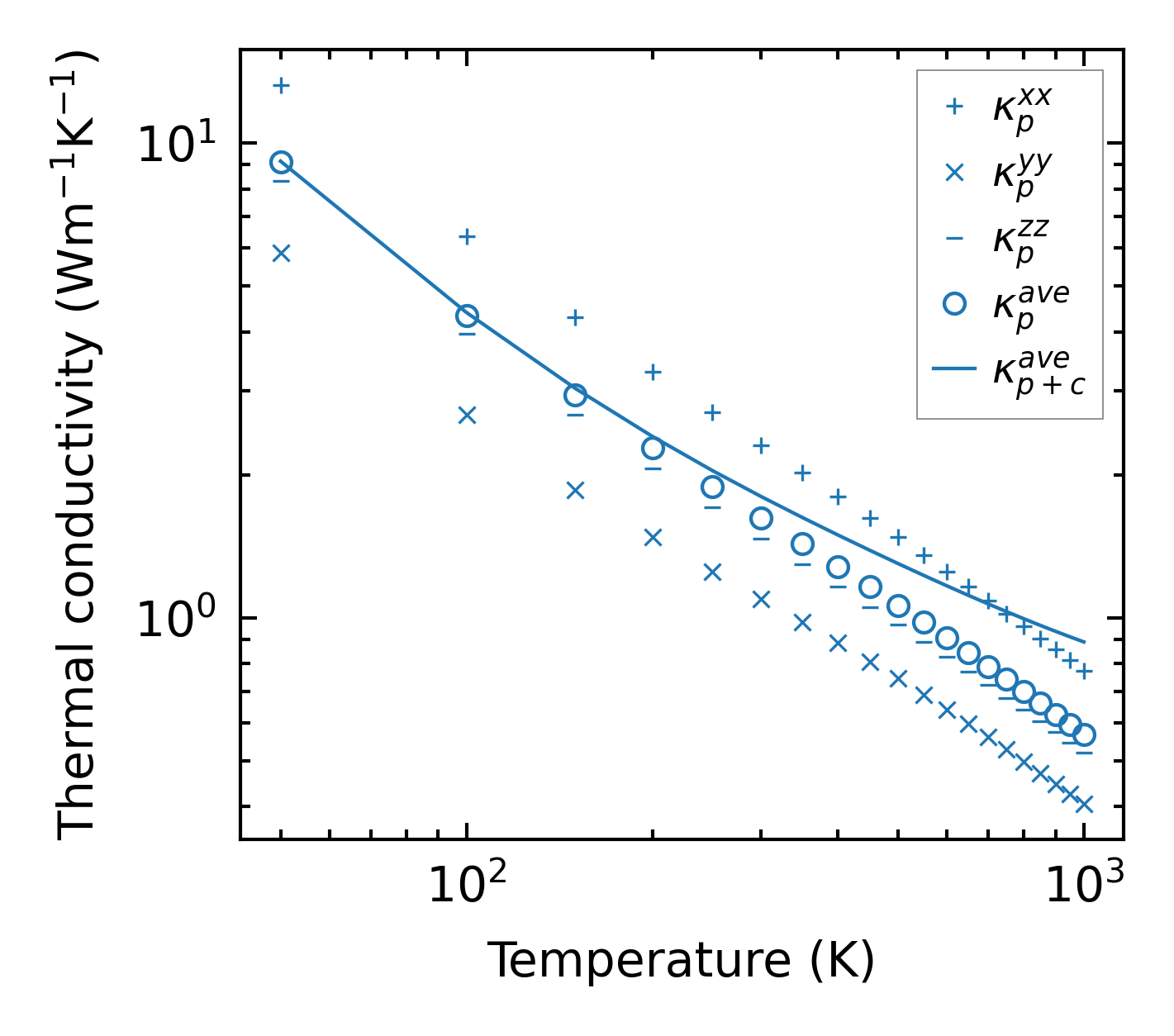
Thermal conductivity

3-phonon (LASSO) — q-mesh: 15x15x10, supercell: 2x1x2

../../_images/fig_kappa12048.png

(a) Temperature-dependent lattice thermal conductivity

../../_images/fig_kappa_vs_grain_size6483.png

(b) Peierls lattice thermal conductivity w.r.t grain size

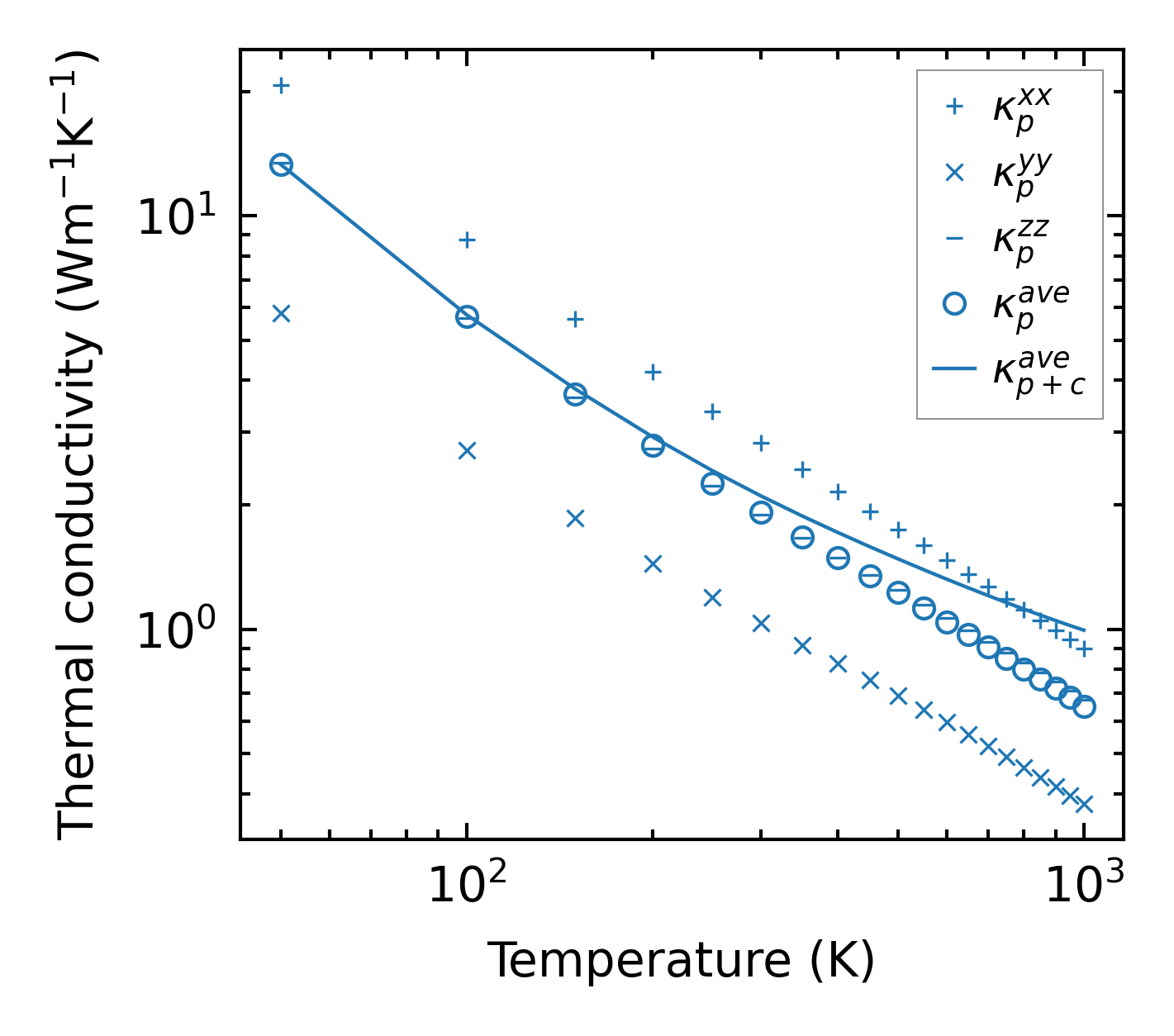
3-phonon (LASSO), supercell 2x2x2 — q-mesh: 15x15x10, supercell: 2x2x2

../../_images/fig_kappa12049.png

(a) Temperature-dependent lattice thermal conductivity

../../_images/fig_kappa_vs_grain_size6484.png

(b) Peierls lattice thermal conductivity w.r.t grain size

Phonon lifetime and scattering rates

../../_images/fig_lifetime6341.png

(a) Phonon lifetime due to phonon-phonon scattering

../../_images/fig_scat_rates6340.png

(b) Phonon scattering rates

Cumulative and spectral thermal conductivity

../../_images/fig_cumu_frequency6341.png

(a) Spectral and cumulative thermal conductivity w.r.t frequency

../../_images/fig_cumu_mfp6340.png

(b) Spectral and cumulative thermal conductivity w.r.t MFP

Force constants

../../_images/fig_fc214546.png

(a) Force constants w.r.t atomic distance

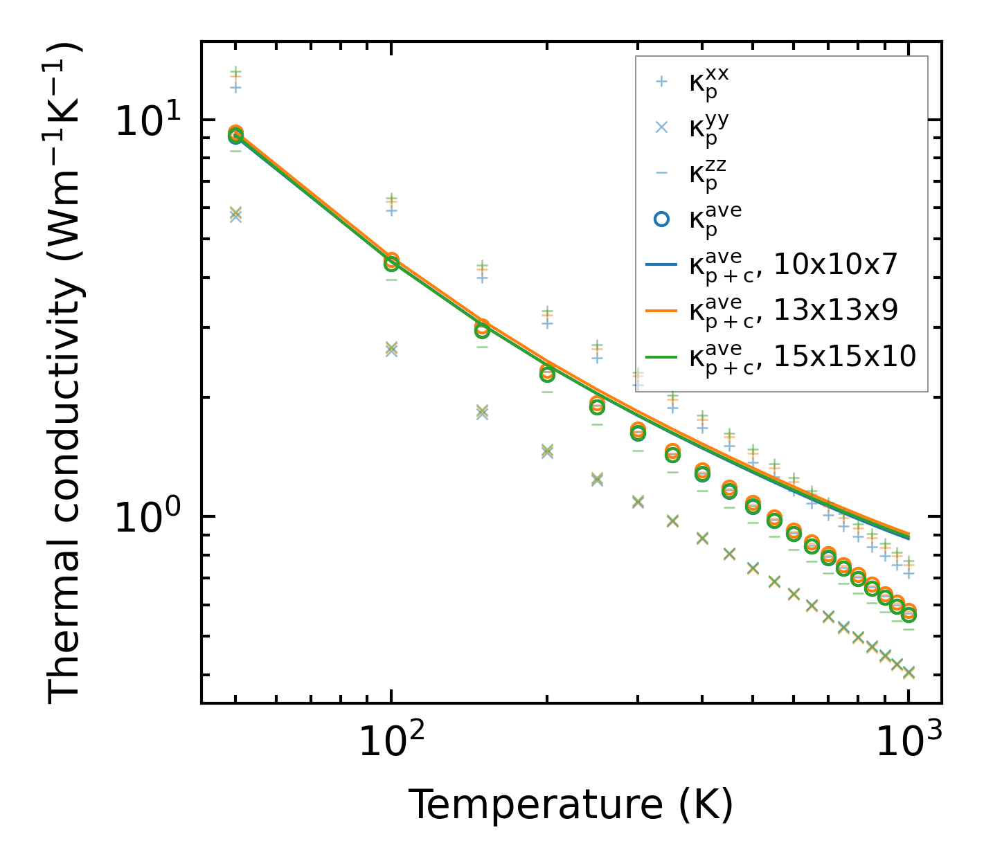
Summary

../../_images/fig_kappa12050.png

(a) Temperature-dependent lattice thermal conductivity

../../_images/fig_times24748.png

(b) Computation time