mp-13277-2/BaLiP/anharm

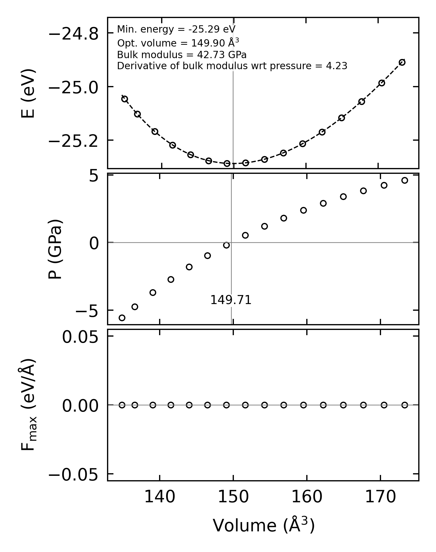
Equation of state

../../_images/fig_bm7442.png

(a) Equation of state

Harmonic properties

../../_images/fig_bandos_pr14860.png

(a) Phonon dispersion with participation ratio and DOS

../../_images/fig_thermo14860.png

(b) Thermodynamic properties

Grüneisen parameters

../../_images/fig_gru_all6370.png

(a) Grüneisen parameters

../../_images/fig_gruneisen6370.png

(b) Phonon dispersion with Grüneisen parameters

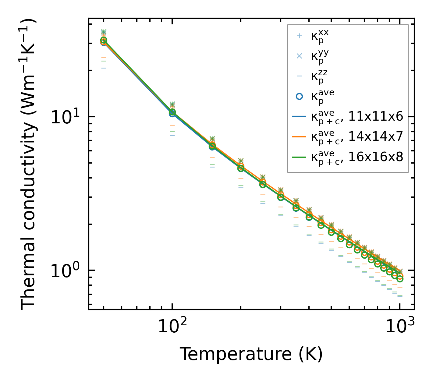
Thermal conductivity

3-phonon (LASSO) — q-mesh: 16x16x8, supercell: 3x3x2

../../_images/fig_kappa11980.png

(a) Temperature-dependent lattice thermal conductivity

../../_images/fig_kappa_vs_grain_size6446.png

(b) Peierls lattice thermal conductivity w.r.t grain size

Phonon lifetime and scattering rates

../../_images/fig_lifetime6305.png

(a) Phonon lifetime due to phonon-phonon scattering

../../_images/fig_scat_rates6304.png

(b) Phonon scattering rates

Cumulative and spectral thermal conductivity

../../_images/fig_cumu_frequency6305.png

(a) Spectral and cumulative thermal conductivity w.r.t frequency

../../_images/fig_cumu_mfp6304.png

(b) Spectral and cumulative thermal conductivity w.r.t MFP

Force constants

../../_images/fig_fc214478.png

(a) Force constants w.r.t atomic distance

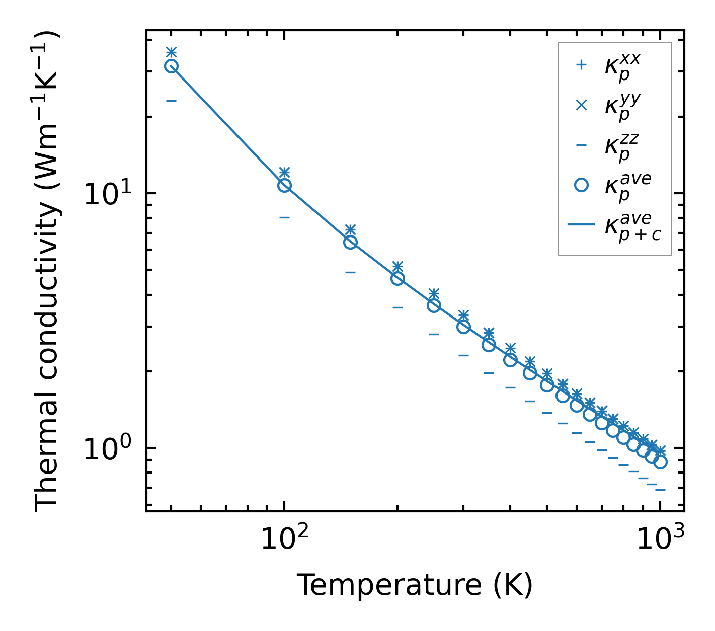
Summary

../../_images/fig_kappa11981.png

(a) Temperature-dependent lattice thermal conductivity

../../_images/fig_times24661.png

(b) Computation time