mp-13276/SrLiP/anharm

Equation of state

../../_images/fig_bm7441.png

(a) Equation of state

Harmonic properties

../../_images/fig_bandos_pr14857.png

(a) Phonon dispersion with participation ratio and DOS

../../_images/fig_thermo14857.png

(b) Thermodynamic properties

Grüneisen parameters

../../_images/fig_gru_all6368.png

(a) Grüneisen parameters

../../_images/fig_gruneisen6368.png

(b) Phonon dispersion with Grüneisen parameters

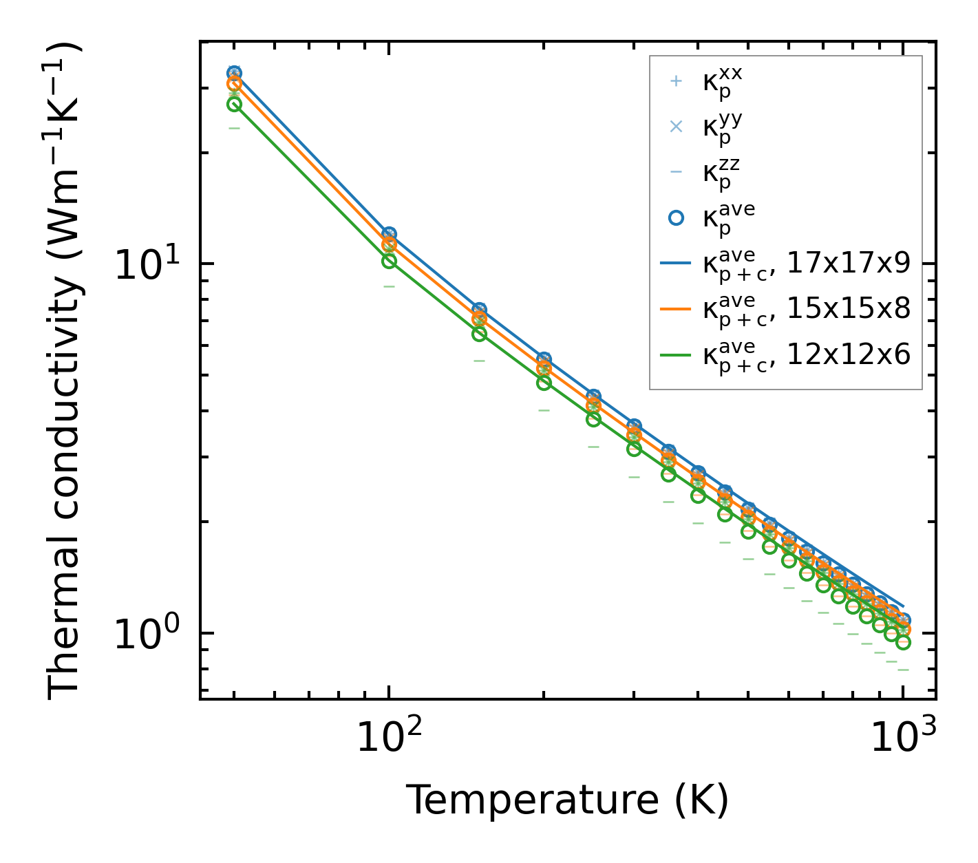
Thermal conductivity

3-phonon (LASSO) — q-mesh: 17x17x9, supercell: 3x3x2

../../_images/fig_kappa11976.png

(a) Temperature-dependent lattice thermal conductivity

../../_images/fig_kappa_vs_grain_size6444.png

(b) Peierls lattice thermal conductivity w.r.t grain size

Phonon lifetime and scattering rates

../../_images/fig_lifetime6303.png

(a) Phonon lifetime due to phonon-phonon scattering

../../_images/fig_scat_rates6302.png

(b) Phonon scattering rates

Cumulative and spectral thermal conductivity

../../_images/fig_cumu_frequency6303.png

(a) Spectral and cumulative thermal conductivity w.r.t frequency

../../_images/fig_cumu_mfp6302.png

(b) Spectral and cumulative thermal conductivity w.r.t MFP

Force constants

../../_images/fig_fc214475.png

(a) Force constants w.r.t atomic distance

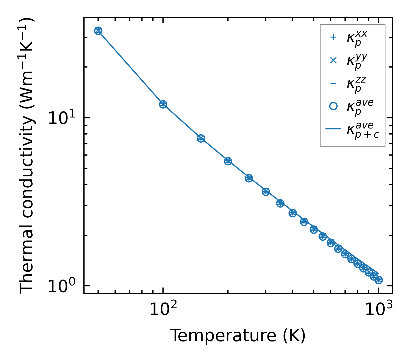
Summary

../../_images/fig_kappa11977.png

(a) Temperature-dependent lattice thermal conductivity

../../_images/fig_times24658.png

(b) Computation time